[신나는 공부]재미있는 수학 깊이있는 수학

  • 동아닷컴

《초등 고학년 때부터는 교과과정에 본격적으로 추상적인 수학 개념이 등장한다. 저학년 때에 비해 확연히 어려워진 수학 개념을 효과적으로 공부하는 방법은 뭘까? 전문가들은 수학 독서를 꼽는다. 책을 통해 수학적 개념이 만들어진 역사적 배경, 과정, 개념이 활용된 예를 알면 수학적 개념을 더 깊고 흥미롭게 이해할 수 있다. 독서가 실제 초등 교육과정에서 수학 개념을 형성하는 데 어떤 도움이 되는지 알아보면 수학독서의 중요성을 실감할 수 있다. 초등생들이 처음 ‘분수’ 개념을 접하는 과정을 살펴보자.》

꽃밭의 2분의 1에는 채송화를 심었고 5분의 2에는 봉선화를 심었습니다. 채송화와 봉선화를 심은 부분은 전체의 얼마인지 알아보시오.
▶▶ 교과서에서는 분수의 덧셈을 설명하기 위해 그림 자료와 함께 일상생활에서 분수의 덧셈을 적용할 수 있는 예를 들었다. 이는 분수의 덧셈 개념을 이해하는 데 도움이 된다. 하지만 왜 분수의 덧셈을 하는지에 대한 설명이 부족하다. 책을 통해 분수의 덧셈을 접해보자.

[문제]



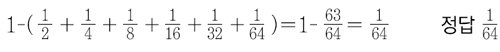
이집트에는 매의 머리를 가진 ‘호루스’라는 신이 있습니다. 호루스의 눈에 얽힌 다음과 같은 신화가 전해집니다. 이 신화에 따르면 호루스 눈의 각 부분에는 그림과 같이 분수가 놓여있습니다. 그런데 이 분수들의 합은 1이 되지 않아 그 부족한 부분을 학문과 마법의 신인 ‘토트’가 채워 호루스가 볼 수 있게 됐다고 합니다.

토트는 얼마만큼의 수를 채워 분수의 합을 1로 만들었는지 구하시오(‘와이즈만 CT수학’ E단계 6호).

[풀이] 1에서 호루스의 눈에 적힌 분수들의 합을 빼면 필요한 분수의 값을 구할 수 있다.


[수학포인트]

이런 학습을 통해 학생들은 통분의 개념을 확인하고 분수의 특징을 찾아 단위분수의 개념을 정립합니다. 단위분수의 합을 구하는 활동의 역사적 배경이 이집트의 분수 계산에서 나왔다는 사실도 알 수 있지요. 수학 개념을 이해할 때 수학의 역사적 배경을 알고 있으면 큰 도움이 됩니다. 수학 개념과 관련된 책을 읽고 독후감을 써보세요. 수학을 폭넓게 이해하는 데 도움이 될 뿐 아니라 학습동기도 마련할 수 있습니다.

※ 와이즈만 영재교육은 수학의 원리와 개념을 이해해 학생 스스로 문제의 답을 찾는 방식으로 학생을 지도합니다. 수학교구를 활용한 재미있는 수업, 도전과제를 해결하는 수업, 발표와 토론식 수학수업, 수학 일기 쓰기 등을 통해 수학적 사고력과 창의적인 문제해결력을 향상시키는 사고력수학 전문교육업체입니다. 와이즈만 영재교육의 시스템은 영재교육원 합격실적으로 증명합니다.

문의 02-2033-8800 홈페이지 www.askwhy.co.kr


트렌드뉴스

트렌드뉴스

  • 좋아요
    0
  • 슬퍼요
    0
  • 화나요
    0

댓글 0

지금 뜨는 뉴스