공유하기
입력 2008년 12월 11일 03시 04분
공유하기
글자크기 설정
■ 지원전략은 ‘제2 수능’
일부대학 ‘수리 가’에 가산점 ‘유의’
표준점수 540점 이상이면 최상위권
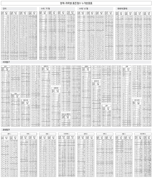
10일 대학수학능력시험 성적이 발표됨에 따라 수험생들은 자신의 영역별 점수를 바탕으로 지원 대학과 모집단위를 결정해야 한다.
판단 기준은 △영역별 성적 조합 △영역별 가중치에 따른 점수 변화 △선택 과목의 가감점 여부 △탐구영역 선택과목 간 유불리 등이며 어느 것이 자신에게 유리한지 따져봐야 한다.
또 법학전문대학원, 약학전문대학원을 도입한 주요 대학이 법학과와 약학과 신입생을 뽑지 않음에 따라 나타나는 최상위권 학생들의 지원경향 변화도 눈여겨봐야 할 대목이다.
▽3개 군별 3∼5곳씩 전형 분석을=수험생들은 자신의 영역별 점수를 조합해 ‘가’ ‘나’ ‘다’군별로 지원 가능한 대학 3∼5곳을 고른 뒤 다시 세부 전형 요강을 분석해 가장 유리한 대학을 선택하는 것이 효율적이다.
대학마다 영역별 반영 비율이 다르기 때문에 자신의 영역별 점수 조합을 통해 어느 대학에 지원하는 것이 유리한지 따져봐야 한다.
예를 들어 고려대 자연계는 언어 수리 외국어영역 비율이 높고 탐구영역 비율이 낮은 반면 연세대 자연계는 상대적으로 수리와 과학탐구영역 반영비율이 높다.
변별력이 높아진 수리영역과 선택과목 간 차이가 발생하는 탐구영역의 반영 방법도 살펴야 한다.
수리영역의 경우 이화여대 동국대 인하대 등 일부 대학은 ‘가’형에 가산점을 부여하기 때문에 ‘나’형 응시자들은 다소 불리하다.
탐구영역에서는 선택과목별로 표준점수 최고점 차이를 고려해야 한다.
많은 대학이 탐구영역 점수를 자체적으로 보정하긴 하지만 본인이 치를 탐구영역 선택과목의 표준점수가 지나치게 불리하면 백분위 반영 대학을 고려해봐야 한다.
▽서울 소재 가-나 군 대학 1곳엔 안정권 지원을=언어 수리 외국어 탐구영역의 표준점수 총점이 540점(백분위 385점) 이상이면 최상위권으로 분류된다.
최상위권 수험생들은 서울대와 고려대 연세대의 상위권 학과나 지방 소재 의예, 한의예 학과들에 지원이 가능하다.
최상위권 학생들은 수능우선선발 전형이 유리하다. 논술이나 면접·구술고사를 실시하는 경우 당락의 핵심 요소가 된다. 특히 서울대는 2단계 전형에서 논술과 면접·구술고사만으로 선발할 정도로 비중이 높다.
표준점수 520∼539점(백분위 370∼384점)인 상위권 수험생들은 서울소재 상위권 대학의 인기학과와 지방 국립대 상위권 학과에 지원이 가능하다.
서울 소재 대학들은 ‘가’군과 ‘나’군에 몰려 있기 때문에 이 가운데 1개 대학은 합격 위주로, 나머지 군의 대학은 소신 지원하는 것이 바람직한 선택이다.
표준점수 450∼519점(백분위 280∼369점)대는 중위권으로 분류되며 이 점수대에 가장 많은 학생이 몰려 있어 경쟁이 치열할 것으로 보인다.
중위권 수험생들이 지원하는 대학에서는 학교생활기록부 성적 실질 반영 비율이 높은 대학이 많기 때문에 반영 비율이나 반영 방법 등을 파악하는 것이 중요하다.
표준점수 449점(백분위 279점) 이하인 하위권 점수대는 주로 지방 소재 대학에 지원이 가능하다.
이 점수대에서는 4년제 대학뿐만 아니라 전문대도 지망 가능한 곳이 많기 때문에 반드시 4년제 대학만 고집할 것이 아니라 전공에 따라서 전문대를 지망해 보는 것도 하나의 전략이 될 수가 있다.
김기용 기자 kky@donga.com
[이미지 크게보기] 
[이미지 크게보기] 