[理知논술/중학생 통합교과 논술]⑨현대 생활 관련 수리논술

  • 입력 2007년 1월 2일 03시 00분


《“사칙연산을 제외하고 수학을 배워서 도대체 어디에 사용하나?”라는 의문을 갖는 사람이 많다. 그 이유는 아마도 수학이 너무 전문적인 내용으로만 다루어지거나, 추상적인 용어를 사용하기 때문에 학문으로서는 의미가 있을지 몰라도 우리의 생활과는 동떨어져 있다고 생각하기 때문일 것이다. 수학적 내용은 너무 전문적인 것을 다룬다고 할지라도 수학문제, 또는 수리적인 문제를 다룸으로써 생겨나는 수리과학적 사고력은 적어도 우리 일상생활, 특히 현대와 같이 빠르게 변화하고 발전하는 산업사회에서는 그 현대생활을 제대로 영위하기 위해서 반드시 필요조건 중의 하나라고 할 수 있다. 하나하나 꼼꼼히 제대로 살펴보고 따져보아야 자신이 손해를 보지 않고 자신의 이익을 최대화할 수 있기 때문이다.

예를 들어 음식을 주문할 때 각종 할인카드와 쿠폰을 갖고 어떻게 계산하는 것이 나은지, 중고차를 비롯한 여러 물품을 구입할 때 어떠한 방법으로 어떤 물건을 구입하는 것이 우리에게 최적의 이익을 가져다 줄지를 살펴보고 결정하는 것은 현대생활을 하는 우리와 매우 밀접하게 관련되어 있는 일이다. 이런 문제를 결정하는 데에 있어서 조금만 수리적으로, 논리적으로 판단하고 살펴본다면 좀 더 경제적으로 도움이 될 뿐만 아니라 현대생활을 즐기는 자신의 만족도를 높이는 데에도 크게 영향을 미칠 수 있다고 본다.

이러한 현대생활에 관련된 수리문제의 경우의 대부분은 간단한 확률법칙을 이용하거나 방정식, 부등식을 사용하는 경우가 많다. 따라서 그러한 문제를 해결할 때 가장 중요하면서도 가장 먼저 생각해야 할 것은 문제를 정확하게 이해하고, 문제에서 요구하는 조건들을 수식으로 명확하게 표현하는 것일 것이다. 그렇게만 할 수 있다면 실제로 계산을 통해 우리가 원하는 답을 구하는 것은 어렵지 않기 때문이다. 따라서 이번 호에서는 현대생활과 관련된 수리논술 문제를 살펴보고, 문제를 정확히 이해하는 방법을 알아보기로 한다.》

【문제 1】

수정이네 가족은 음식점에 가서 피자 1판과 스파게티 1인분을 먹으려고 한다. 스파게티의 가격은 1만 원이고 피자의 가격은 그림과 같다. 수정이는 전체 가격의 30%가 할인되는 할인 카드와 스파게티 무료 쿠폰 1장을 가지고 있는데, 중복 사용은 불가능하다고 한다. 할인 카드를 사용하는 것이 스파게티 무료 쿠폰을 사용하는 것보다 돈이 덜 들게 하려 할 때, 고를 수 있는 피자의 가짓수는?

:풀이 해설 및 정답 :

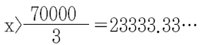
피자의 가격을 x원이라 하면, 할인 카드를 사용할 때 지불해야 할 금액은 (x+10000)×0.7원이고, 스파게티 무료 쿠폰을 사용할 때 지불해야 할 금액은 x원이다. 이에 따라 문제의 내용을 수식으로 나타내면 다음과 같다.

(x+10000)×0.7〈x, 7x+70000〈10x

그러므로

이고, 따라서 조건을 만족하는 것은 2만5000원과 2만8000원짜리의 2종류이다.

【문제2】

다음 자료는 세 도시 서울, 도쿄, 뉴욕의 월별 강수량(mm)을 표와 그래프로 나타낸 것이다.

도시123456789101112평균
서울22244677102132328348138495325112
도쿄45601001251381851261471791648946117
뉴욕777392969691103958676978689

위의 자료에서 월별 강수량의 표준편차가 큰 도시부터 차례로 나열하여라.

:풀이 해설 및 정답:

그래프에서 강수량이 평균을 중심으로 가장 많이 흩어져 있는 도시는 서울이고, 가장 적게 흩어져 있는 도시는 뉴욕이다.

따라서 표준편차가 큰 도시부터 차례로 나열하면 서울, 도쿄, 뉴욕이다.

【문제3】

아래 표는 A, B 두 종류의 중고차에 대한 차의 가격과 10km 운행당 유지비를 나타낸 것이다. 차량 가격과 유지비를 고려할 때, A차를 구입하는 것보다 B차를 구입하는 것이 유리하려면 차를 구입한 후 주행거리를 최소 몇 km 초과해서 타야 하는가? (단, 중고차 가격의 변동분과 유지비의 변동분 및 그 이외의 모든 사항은 고려하지 않는다.)

차종10km 운행당 유지비중고차 가격
A1300원630만 원
B400원900만 원

:풀이 해설 및 정답:

A, B 차종의 km당 유지비는 각각 130원, 40원이므로 xkm 운행 시 각 차량의 소요비용은 6,300,000+130x>9,000,000+40x이므로 x>30,000이다.

즉, 주행거리가 3만 km 초과할 때 B 차종이 더 유리하다.

【문제4】

어느 스포츠용품점에서는 운동화를 사는 고객에게 양말 또는 장갑 중 한 켤레를, 등산화를 사는 고객에게 양말과 장갑을 모두 한 켤레씩 사은품으로 주는 행사를 하였다. 다음 표는 이 행사 기간에 판매한 신발의 수와 지급한 사은품의 수를 나타낸 것이다.

양말을 사은품으로 받은 고객이 운동화를 산 고객일 확률은?

(단, 두 켤레 이상의 신발을 구입한 고객은 없다.)

:풀이 해설 및 정답:

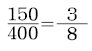
등산화를 산 고객이 250명이므로 운동화를 사고 양말을 받은 고객의 수는 400-250=150명이다.

따라서 구하는 확률은

심소연 정보학원 중등부 수학과 팀장


트렌드뉴스

트렌드뉴스

  • 좋아요
    0
  • 슬퍼요
    0
  • 화나요
    0

댓글 0

지금 뜨는 뉴스