[理知논술/2007학년도 수시 대비]수학 심층면접

  • 입력 2006년 8월 15일 03시 00분


《2008학년도 대학입시부터 대학수학능력시험이 자격 시험화하기 때문에 대학별고사에서 변별력을 구해야 하는 것이 대학의 주요 과제가 됐다. 이는 결국 2007학년도 수시 모집 대학별고사에서 다양한 시험의 장(場)이 펼쳐질 개연성이 높다는 것을 의미한다. 이러한 시점에서 세분화된 문제를 출제함으로써 채점자의 주관성을 배제해 객관적인 평가를 최대한 도모하고, 부수적으로 교과 지식과 연계해 학교 교육의 정상화에 도움이 되는 통합 교과형 논술 유형이 각광받고 있다.

올해 대입을 준비하는 수험생은 물론 고교 1, 2학년생들도 이번 기회를 통해 새롭게 시도될 통합 교과형 논술의 출제 유형을 숙지하고 그에 필요한 학습법 및 배경 지식을 스스로 깨달을 수 있을 것이다. 여기에 기존의 출제 유형에 따른 문제도 포함해 올해 수시 모집을 대비하는 수험생들에게 도움을 주고자 한다.》

[문항1] 다음 물음에 답하여라.

1. 원에 외접하는 정삼각형의 넓이는 그 원에 내접하는 정삼각형의 넓이의 몇 배인가?

2. 원에 외접하는 정사각형의 넓이는 그 원에 내접하는 정사각형의 넓이의 몇 배인가?

3. 원에 외접하는 정k각형의 넓이는 그 원에 내접하는 정k각형의 넓이의 몇 배인가?

[문항2]

1. A²-3A+2E를 계산하여라.

2. x≥1이라고 하자. 다항식 xⁿ+xⁿ-¹+xⁿ-²+L+x²+x+1을 이차식 x²-3x+2로 나눈 나머지를 구하여라.

3. 을 간단히 하여라.

[문항3] 다음 물음에 답하여라.

1. 포물선의 방정식을 만족하는 거울이 있다. 오른쪽 그림처럼 포물선의 축에 평행하게 입사하는 모든 빛들은 거울에서 반사 후에 포물선의 초점을 지나간다. 이것을 증명하여라.

2. 안테나 중에는 미약한 전파도 잘 탐지하는 패러볼라 안테나(parabola antenna)라는 것이 있다. 가정용으로 제작된 작은 패러볼라 안테나만으로도 우리는 먼 나라의 방송을 생생하게 수신할 수 있다. 그런데 ‘parabola’는 수학에서 ‘포물선’을 의미한다. 전파를 탐지하는 안테나와 수학의 포물선 사이에는 어떤 관계가 있을까?

[문항4]다음 물음에 답하여라.

1. 평균값의 정리에 대하여 설명하여라.

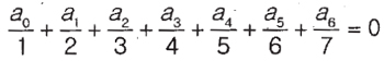
2. 7개의 실수 이 있다.

이 수들이 을 만족한다.

이 때 육차방정식 은 1보다 작은 양의 실근을 가짐을 증명하여라.

최행진 강남중앙학원 논구술연구소 수학팀장

☞ 해설과 분석, 답안은 이지논술 사이트에… 더 많은 예시 문제도 있습니다.

트렌드뉴스

트렌드뉴스

  • 좋아요
    0
  • 슬퍼요
    0
  • 화나요
    0

댓글 0

지금 뜨는 뉴스