공유하기
입력 2008년 5월 12일 03시 01분
공유하기
글자크기 설정
사람은 누구나 자기 몸에 관심이 많다. 관심은 주로 어떻게 하면 질병에 걸리지 않고 건강하게 살 수 있느냐에 쏠려 있다. 하지만 대부분이 우리 몸의 구조는 어떻게 이뤄지는지, 각 기관이 어떤 작용을 하는지, 인체 속에서 그것들은 서로 어떤 관련을 맺는지에 대해서는 제대로 모른다. 특히 건강한 사람일수록 자기 몸에 무지할 때가 많다.
수학도 마찬가지다. 일상생활 속에서 수학적 개념·지식·사고능력이 필요한 경우가 갈수록 많아지고 있지만 생활 속에 숨은 수학적 원리의 중요성은 간과되는 때가 많다. 사람들이 ‘생활 속 수학’에 무관심해지는 것은 수학적 능력을 공부를 잘 하는가, 못 하는가로만 보는 현 교육의 잘못된 인식 때문이다.
학부모들은 수학교육의 이런 현실 때문에 자녀에게 무리한 수학지도를 하게 된다. 남보다 어린 나이에 더 빨리 많은 것을 배우도록 하려다 보니, 자녀에게 수학을 암기하도록 강요하거나 기계적으로 학습하도록 만드는 것이다.
아이들은 이 때문에 수학을 더 어려워하고, 수학적 개념을 형성할 기회조차 빼앗긴다. 자녀가 수학에 부정적인 시각을 가지고 수학을 꺼리게 된다면 조직적 체계적인 학문으로서의 수학에 접근하는 일은 불가능해진다.
이 세상에서 인체만큼 신비롭고 조화로운 존재는 없다. 쭈글쭈글한 뇌에서 형성되는 꿈, 서로 다른 혈액형, 신비한 구조를 가진 허파, 온몸을 휘감고 있는 핏줄과 뼈까지 신비롭지 않은 것이 없다. 어렵게 접근하면 할수록 멀어지는 우리 몸에 대한 지식. 하지만 우리에게 친숙한 도구인 수학의 힘을 빌려 접근해보자.
김형진 영재사관학원·수학영재만들기 대표원장
한을이네 반 유전자 비율
A 40%, B30%, O 30%
혈액형 A,B,O,AB형 나올 확률은 각각 몇%?
문제【1】
한을이네 반 학생들의 유전자의 비율을 조사하였더니 A, B, O의 비율이 각각 40%, 30%, 30%였습니다. 이들의 혈액형 A형, B형, O형, AB형이 나올 확률은 각각 몇 %인지 구하시오.
■선생님의 도움
① 계획하기
유전자형은 AA, AO, BB, BO, AB, OO의 6가지 유전자형이 생깁니다. 그런데 유전자 A와 B 사이에는 우열관계가 없으나, 두 유전자 모두 유전자 O에 대해서는 우성이므로 유전자형 AO는 혈액형 A형, 유전자형 BO는 혈액형 B형이 됩니다.
② 실행하기
A, B, O의 유전자 비율을 각각 x, y, z라 하면 다음과 같이 나타낼 수 있습니다.
x=0.4, y=0.3, z=0.3이므로
x²+2xz=0.16+0.24=0.4, y²+2yz=0.09+0.18=0.27, 2xy=0.24, z²=0.09입니다.
따라서 한을이네 반 학생의 혈액형 A형, B형, O형, AB형이 나올 확률은 각각 40%, 27%, 24%, 9%입니다.
③ 반성하기
바르게 해결하였는지 알아보기 위해 각각의 확률의 합이 100%가 되는지 확인해봅니다.
유전자형과 혈액형의 차이를 알아봅니다.
문제【2】
문제【3】
그림은 멩거 스펀지라고 불리는 것입니다. 멩거 스펀지는 주어진 정육면체의 각 모서리를 3등분한 다음 9개의 작은 정육면체를 만들고 그 중간 부분을 없앤 뒤 다시 그 작은 정육면체에 같은 과정을 되풀이하여 만듭니다. 이 과정을 반복하면 부피는 점점 작아지고, 표면적은 점점 커갑니다. 이것이 가장 작은 부피 안에 가장 큰 면적을 확보하는 방법입니다. 어떤 사람의 허파 부피가, 한 변의 길이 13cm인 정육면체로 5단계까지 멩거 스펀지를 만들었을 때의 부피와 같다면 이 사람의 허파 부피를 구하시오.
문제【4】
문제【5】
정상인의 혈액 중 55%는 액상성분인 혈장과 고체성분인 혈구로 이루어져 있습니다. 혈장은 물 91%, 단백질 7%, 지방 1%, 포도당 0.1%, 기타 무기질 이온 0.9%로 구성됩니다. 어떤 사람의 혈액 5000mL 속에 포도당 0.08%가 들어있습니다. 모자란 부분을 250mL의 포도당액 링거로 보충하려 합니다. 모자란 부분을 보충하려면 포도당액에는 몇 %의 포도당이 포함되어 있어야 합니까?
문제【6】
이 사람의 몸속에 지난해 겨울 80만 개의 감기 바이러스 항원이 들어왔고 다시 올해 겨울 같은 감기 바이러스 항원 150만 개가 또 들어왔다면, 지난해와 올해는 각각 며칠째에 감기가 나았겠습니까?
단,
[정답]
2. 최소 7시간 48분, 최대 9시간
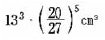
3.
5. 0.32%
6. 지난해: 13일째, 올해: 7일째
▶easynonsul.com 및 수학영재만들기 홈페이지(www.tamnsu.com 탐앤수닷컴)에 풀이 및 동영상 강의
