[Prime TOWN]수능 수리 마무리 전략

  • 입력 2008년 10월 6일 02시 56분


《9월 대학수학능력시험 모의평가에서 수리영역의 표준점수 최고점은 ‘가’형이 160점, ‘나’형이 163점으로 가장 높아 2009학년도 수능 수리영역 난이도가 상당히 높아질 것이라는 전망이 나오고 있다. 또 지난해 수리 영역 난이도가 낮아 변별력이 확보되지 않았다는 지적에 따라 올해는 까다로운 문제가 많이 출제돼 변별력이 높아질 것으로 보인다. 2009학년도 수능 수리영역 마무리 학습법을 소개한다. 》

기출문제 완벽 소화… 정의-성질은 ‘왜?’를 이해하라

6월과 9월에 실시된 모의평가의 난이도는 지난해 수능에 비해 크게 높아졌지만 문제 형태는 그다지 새로운 점이 없었다. 대부분 기본적인 계산능력과 개념의 원리를 이해하는 문제로 지난해 수능의 경향이 유지됐다.

두 차례 모의평가의 특징을 살펴보면 첫째, 과거에 출제되었던 유형의 문제가 눈에 띈다는 점이다. 이는 유사한 유형을 확장한 형태의 문제가 출제될 가능성이 높기 때문에 기출문제를 다시 정확히 풀어보고 문제의 뜻을 이해하는 연습이 필요하다는 얘기다. 둘째, 6월 문제는 복잡한 계산을 요하는 문제가 다수 포함돼 어려웠던 반면 9월에는 문제가 요구하는 의미를 파악하지 못하고 계산문제로 접근했다가 어려움을 겪은 수험생이 많았다.

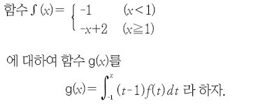
○예문 9월 모의평가 수리 ‘가’형 22번

정답: 110

○해설 9월 모의평가 수리 ‘가’형 22번은 수험생들이 어려워하는 수열 문제로, 숫자를 대입해 규칙을 찾아 낼 수도 있지만 시간을 허락하지 않는 최근 시험의 특성상 어려움을 겪을 수밖에 없는 문제였다. 이처럼 올해 수능에서도 계산이 복잡하기보다는 의미를 파악하고 본질적인 성질에 입각해 푸는 유형의 문제가 다수 출제될 것으로 예상된다.

○예문 9월 모의평가 수리 ‘가’형 10번

<보기>에서 옳은 것만을 있는 대로 고른 것은? [4점]

① ㄴ ② ㄷ ③ ㄱ, ㄴ

④ ㄱ, ㄷ ⑤ ㄱ, ㄴ, ㄷ

정답: ③

○해설 예문처럼 <보기> 중에서 옳은 것을 찾으라는 문제의 배점이 여전히 높고, 평가원 모의고사에서 출제되지 않았어도 수능에서는 이런 문제가 많이 출제되기 때문에 고득점을 목표로 하는 수험생들은 특히 유의해야 한다. 이런 문제는 개념 이해가 부족하고 주어진 사실을 논리적으로 서술하는 능력이 부족한 수험생들에게 약점으로 작용할 수 있어 철저히 대비해야 한다.

도형과 그래프의 성질을 이해하지 못하면 풀기 어려운 문제들이 출제돼 난이도가 높아졌다는 점에도 주목해야 한다. 이런 문제는 상위권 학생들의 변별력 확보에 유용해 앞으로도 계속 출제될 것으로 보인다.

손광균 스카이에듀 수리영역 강사


▼새 문제 풀기보다 익숙한 교재로 확실한 마무리▼

○ 기출문제 풀이를 반복하라

수능의 가장 좋은 교재는 기출문제다. 기출문제와 유사한 유형이 매년 반복 출제되므로 그동안 출제됐던 문제의 전체적인 흐름을 이해하고 어떤 식으로 변형이 가능할지를 생각하며 문제를 풀어본다.

○ 정의와 성질의 이해는 필수

‘다음 <보기> 중 옳은 것을 모두 고르면?’ 같은 유형의 문제는 정확한 정의가 문제 해결의 바탕이다. 수학적인 성질이나 관계에 대해서 결과만 중시하고 그 관계의 성립조건들을 무시하고 넘어가는 수험생이 많은데 이런 공부법은 좋지 않다. 주어진 조건이 왜 필요한지, 다른 조건에서는 왜 성립하지 않는지를 반드시 확인한 뒤 넘어가야 한다. 최근 출제되는 문제들은 감으로 풀거나 숫자 대입 수준으로는 해결이 불가능하다.

○ 생소한 문제에 대한 적응력 키워라

새롭게 등장하는 문제는 복잡하게 생각해 당황해하지 말고 문제에서 요구하는 것을 정확히 파악하는 훈련을 해야 한다. 수능에서는 새로운 정의를 주고 그에 따른 질문을 하는 문제가 거의 빠짐없이 등장하고 있다. 수리 영역에서 새로운 정의와 관련된 문제는 기존의 생각만으로 풀려고 들지 말고 주어진 정의에 합당한지를 확인해 보면 의외로 쉽게 풀리는 특징이 있다.

○ 생활 속 수학문제를 연습하라

수학을 실생활에 적용한 문제들은 당황하지 않고 자세히 들여다보면 쉽게 해결할 수 있는 반면 수학 내적인 문제의 풀이에 어려움을 겪는 경우가 많다. 9월 모의평가에서도 문제 해결에 어려움이 있는 문제는 대부분이 1학년 과정을 완벽히 이해해야 해결할 수 있는 것들이었다.

수학 ‘10-가·나’가 직접 출제되지는 않지만 수학Ⅰ이나, 수학Ⅱ를 통하여 간접적으로 출제된다. 따라서 수학 ‘10-가·나’의 방정식, 부등식, 도형의 방정식, 함수, 삼각함수 부분은 반드시 공부를 하고 수능에 임해야 한다.

○ 익숙한 교재를 활용하라

수능 마무리 단계에서는 새로운 문제를 풀어보기보다 지금까지 공부했던 교재를 중심으로 반복하는 것이 좋다. 아울러 수능과 유사한 형태의 실전 모의고사 문제를 꾸준히 풀어볼 필요가 있다. 모의고사는 그동안 공부했던 내용에서 어떤 부분이 부족한지 판단할 수 있게 해주므로, 앞으로 2∼3일에 한 번 꼴로 모의고사 문제를 풀어보도록 한다.

○ 주관식 문제를 두려워 말라

올해 수능에서는 변별력 확보 차원에서 주관식 문항의 비중이 커질 것으로 보인다. 배점이 높은 주관식 문항은 수험생 대부분이 어려워하는데 수리영역 주관식 문제는 서술형이 아니라 단답형이라는 것을 기억해야 한다. 따라서 주관식도 객관식 문제처럼 문제풀이를 통해 도출된 정답을 적으면 되는 것이다. 주관식을 객관식과 구분해 멀리하기보다 개념과 문제풀이 연습을 통해 정답을 도출하는 연습을 하도록 한다.

▼그래프 보는 눈 키우고 응용문제 풀이 훈련을 ▼

○ 수학Ⅰ

· 지수로그 함수: 그래프의 변환과 그래프의 특징들을 반드시 정리한다. 그래프의 성질만 이해한다면 모든 문제를 쉽게 해결할 수 있다.

· 행렬: 계산보다는 역행렬 관련 내용을 바탕으로 문제를 논리적으로 전개하는 훈련이 필요하다. 무조건 많은 문제를 푸는 것은 실제 시험에서 도움이 되지 않는다는 것을 명심하자.

· 수열: 규칙성 찾기가 가장 어렵기 때문에 다양한 문제를 반복적으로 풀어서 자신감을 갖도록 해야 한다. 문제 유형이 과거에 출제됐던 문제와 그다지 다르지 않으므로 유사한 문제에 대한 자신감을 기르는 것이 필요하다.

· 극한: 무한등비급수와 관련된 문제는 매년 출제되고 대부분의 수험생이 쉽게 해결한다. 하지만 문제의 난도가 올라가면 첫째 항과 둘째 항만 알아서는 풀 수 없는 문제가 출제될 수 있으므로 수열의 관계식을 세우는 훈련을 해 두어야 한다.

· 확률과 통계: 최근에는 단순한 공식대입만으로 해결되고 상황을 분류하는 문제들이 출제되고 있다. 이 경우 공식대입으로 시간을 낭비하지 말고 수형도를 그려 나열하는 훈련을 할 필요가 있다. 확률 통계 단원은 학생들이 어려워하는 것에 비해 실제 문제 난도는 그리 높지 않으므로 절대 포기하지 말자.

○ 수학Ⅱ

· 미분과 적분: 연속성과 미분 가능성의 정의를 정확히 이해하고, 이를 응용문제에 적용하는 훈련을 해야 한다. 또 그래프에 대한 이해를 바탕으로 문제를 응용해 푸는 훈련을 해야 한다. 미적분 단원에서 계산이 복잡한 문제를 내기는 곤란하다. 따라서 개념 이해를 바탕으로 응용력을 요하는 문제에 초점을 맞춰 마무리 학습을 할 필요가 있다. 미적분과 그래프와의 관계 및 그래프 응용문제도 충분히 공부해 둬야 한다.

· 이차곡선: 이차곡선에 숨어 있는 성질들을 다시 정리하고 자취를 구하는 연습을 충분히 해 둬야 한다. 또한 벡터, 미적분과 연계된 문제의 유형도 기출문제를 바탕으로 정리할 필요가 있다.

· 공간도형과 벡터: 공간도형에 등장하는 문제 중 정사영과 결합된 문제를 학생들이 어려워하는 경우가 많다. 여러 문제를 풀어 보면서 공간지각능력을 향상시키고 벡터에서의 공간도형 방정식과 연계된 문제를 해결하는 능력을 키워야 한다. 절댓값과 도형이 연계된 부분의 의미도 정확히 이해해야 한다.

 

 

 

트렌드뉴스

트렌드뉴스

  • 좋아요
    0
  • 슬퍼요
    0
  • 화나요
    0

지금 뜨는 뉴스