[理知논술/중학생 통합교과 논술]⑩함수원리를 응용한 수리논술

  • 입력 2007년 1월 16일 04시 29분


[이지논술/중학생 통합교과 논술]⑩함수원리를 응용한 수리논술

입출력값 통해 규칙을 찾고 특정함수 이용 변화값 계산

《우리는 “이러한 것들과 저러한 것들 사이에는 어떤 함수관계가 있다”라는 말을 종종 한다. 이와 같이 ‘함수’라는 용어는 수학적 용어일 뿐만 아니라 일상생활에서도 흔히 사용되는 말이다. 그러나 함수를 수학적으로 엄밀하게 정의하거나 설명하는 것은 다소 따분하게 받아들여질 수도 있고, 이해하기 어려운 추상적인 방법을 동반하기도 한다. 따라서 함수를 가능하면 더 쉽게 이해하는 것이 함수원리를 응용한 수리논술을 해결하는 데에 도움이 될 것이다.

자 그럼, 초등학생 시절 함수에 대해서 배웠을 때로 돌아가 보자. 아래 그림과 같이 위와 아래에 각각 하나의 구멍이 뚫어져 있는 상자가 있다. 그 상자 안을 들여다 볼 수는 없지만 위 구멍에 어떤 숫자를 넣으면, 어떤 규칙에 의해 아래 구멍으로 일정한 숫자가 나온다.

이처럼 어떤 값들이 입력이 되면 특정한 규칙에 의해 출력되는 값이 정해지는 것을 함수라고 할 수 있다. 그러므로 입출력 값을 통해서 주어진 함수가 어떤 것인지를 찾는 것과 특정한 함수를 통해서 입출력 값들이 어떻게 주어지는가를 알아보는 것, 이 두 가지가 기본적으로 함수의 원리를 응용한 수리논술 문제의 형태가 될 것이다.

따라서 이번 호에서는 이 함수 원리와 관련된 수리논술 문제를 살펴보고, 문제를 정확히 이해하는 방법을 알아보기로 한다.》

【문제 1】

아래 그림은 입구의 폭이 10m이고, 높이가 6m인 포물선 모양의 이차선 도로에 있는 터널을 나타낸 것이다. 이 터널에는 그림과 같이 폭이 3m인 두 대의 트럭이 나란히 통과할 수 있으나 통과하는 트럭의 높이는 제한하고 있다. 아래의 터널 입구에 붙어 있는 경고문 빈칸에 들어갈 숫자를 소수점 아래 둘째 자리까지 구하시오.

경고문:터널 통과 차량 높이 제한 ()m

:풀이 해설 및 정답:

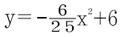
아래의 그림과 같이, 지면을 x축, 터널의 중앙을 y축으로 하자. 그러면 꼭짓점의 좌표가 (0, 6)이고, (5, 0)을 지나는 포물선에서 점 P의 y 좌표인 h값을 구하는 것이 이 문제를 해결하는 것이다.

따라서 y=ax²+6에 (5, 0)을 대입하면 이므로,

주어진 포물선의 방정식은 이고, 그 포물선에서 점 P의 y좌표 h는 다음과 같이 가 된다.

【문제 2】

어느 상점에 ㉮, ㉯, ㉰ 3개의 진열대가 있다. 9월 1일에 ㉮, ㉯, ㉰에 진열된 상품은 각각 A, B, C이다. 9월 2일부터 아래의 규칙에 따라 상품을 진열할 때, 같은 해 9월 30일에 진열될 상품을 ㉮, ㉯, ㉰의 순서로 나타내어라.

[규칙1]

홀수 날에는 전날 ㉮에 진열되었던 상품을 ㉯로, ㉯의 상품을 ㉰로, ㉰의 상품을 ㉮로 옮겨 진열한다.

[규칙2]

짝수 날에는 전날 ㉯와 ㉰에 진열되었던 상품을 서로 바꾸어 진열한다.

:풀이 해설 및 정답:

아래의 표에서 보는 바와 같이 상품 진열은 4일 단위로 반복된다.

날짜
9월 1일ABC
9월 2일ACB
9월 3일BAC
9월 4일BCA
9월 5일ABC
..............

따라서 9월 30일은 30=4×7+2이므로, 9월 2일에 진열된 상태와 같다.

그러므로 ㉮, ㉯, ㉰에 진열된 상품은 각각 A, C, B이다.

【문제 3】

서울, 대전, 광주, 대구, 부산에 살고 있는 다섯 명의 친구가 그림과 같은 고속도로에서 자신의 차들을 이용하여 한 장소에 모이려고 한다. 차의 운행 거리의 합을 최소로 하려면 어느 곳에 모여야 할 지 설명하여라. (단, 광주에서 가장 가까운 곳은 대전이다.)

:풀이 해설 및 정답:

고속도로를 수직선 위에 대응시킨 후 서울에서 각 지역까지의 거리를 나타내면 다음과 같다.

이때, 모이는 장소를 x라 하고, x에서 각 지역까지 거리의 합을 f(x)라고 하면, f(x)=lxl+lx-al+lx-bl+lx-cl 이므로 아래 그래프에서 a≤x≤b일 때, 최소값을 갖는다.

그런데 광주에서 가장 가까운 곳이 대전이므로, 5명의 이동거리의 합이 최소가 되는 곳은 대전이다.

트렌드뉴스

트렌드뉴스

  • 좋아요
    0
  • 슬퍼요
    0
  • 화나요
    0

댓글 0

지금 뜨는 뉴스