[理知논술/2007학년도 수시 대비]수리 구술

  • 입력 2006년 5월 23일 02시 59분


■ 수리 구술

(문제) 다음 물음에 답하여라.

1. 정육각형의 한 꼭짓점에서 그을 수 있는 대각선의 개수는 모두 3개이다. 그런데 3개의 대각선 중에서 두 대각선의 길이는 동일하다. 만약 길이가 동일한 대각선들을 한 종류로 친다면, 정육각형의 한 꼭짓점에서 그을 수 있는 대각선은 2종류다.

그렇다면 정오각형의 한 꼭짓점에서 그을 수 있는 대각선은 몇 종류인가?

2. 한 변의 길이가 a 인 정오각형의 대각선의 길이를 구하여라.

3. 위의 결과를 이용하여 cos72°의 값을 구하여라.

4. 3번 문항의 결과를 이용하여 cos144°의 값을 구하여라.

(문제)

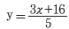
오른쪽의 그림처럼, 평면 위에 두 개의 도로 A, B가 있다. 도로 A는 점(0,0)에서 출발하여 곡선을 따라 오른쪽으로 뻗어 있고, 도로 B는 점에서 시작되어 인 직선을 따라 A와 마찬가지로 오른쪽으로 뻗어 있다.


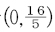
1. 두 도로가 교차하는 지점 P의 좌표를 구하여라.

2. 마티즈가 원점에서 출발하여 초당 1의 속력으로 곡선도로 A를 따라 주행한다. 이 자동차가 P까지 도달하는 데 걸리는 시간은?

3. 마티즈와 동시에 티코가 에서 출발하여 직선도로 B를 따라 주행한다. 두 자동차가 주행하는 동안에 두 자동차의 위치의 x좌표는 항상 같아서 두 자동차는 P에서 충돌한다. 충돌하는 순간 티코의 속력은 얼마인가?

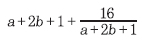
(문제) 양의 실수 a와 b가 있다. 다음 물음에 답하여라.

1. 분수식의 최소값을 구하여라.

2. a와 b가 각각 어떤 값일 때 분수식이 최소값이 되는가? 위의 결과를 이용하여라.

(문제)

방정식 (x-1)(x^3-1)(x^5-1)=0 은 서로 다른 7개의 근을 가진다. 이 7개 근의 합은 얼마인가?

최행진 강남중앙학원 논구술연구소 수학팀장

☞ 해설과 분석, 답안은 이지논술 사이트에… 더 많은 예시문제도 있습니다

트렌드뉴스

트렌드뉴스

  • 좋아요
    0
  • 슬퍼요
    0
  • 화나요
    0

댓글 0

지금 뜨는 뉴스