[理知논술/중학생 통합교과 논술]고대 비밀을 벗기는 수리논술

  • 입력 2006년 10월 24일 03시 04분


고대 피라미드-비너스상에 담겨 있는 황금비를 찾아라

《세계 불가사의 건축물 중의 하나인 이집트의 피라미드는 그것을 수리적으로 분석했을 때 더 놀라지 않을 수 없다. 인류가 가장 아름답다고 생각해온 황금비에 대한 계산을 비롯한 여러 가지 수리적 능력을 고대 이집트인들도 갖고 있었다는 것을 알려주기 때문이다.

피라미드뿐만 아니라 역사 속에 등장하는 여러 건축물이나 역사적 사건 등에서도 그러한 수학적 분석을 통한 놀랍고도 흥미로운 사실들을 발견할 수 있다. 그 당시의 학문뿐만 아니라 실생활에서도 수학적, 수리적 원리가 많이 활용되고 있음을 엿볼 수 있기 때문이다. 또한 그 당시에는 단순히 그전까지의 오래된 경험으로부터 얻어진 노하우를 통해 건축물, 예술품 등을 만들어냈다 하더라도 그 노하우가 왜 얻어질 수밖에 없었나 하는 점도 수학적으로 해석할 수 있다.

그러므로 놀랄 만한 역사적 사실을 수학적으로 수리적으로 분석하여 그 비밀을 벗겨내는 문제는 수학을 비롯해 역사 예술 과학을 통합하는 통합교과형 수리논술 문제 유형으로 매우 잘 활용될 수 있을 것이고, 그에 대해 다뤄 보는 것이 여러 가지 면에서 의미를 가질 것이라고 본다.

따라서 이번 호에서는 고대 역사에서 발견되는 역사적 사실 등을 통하여 그것을 수리적으로 분석하고 논하여 보는 문제를 살펴보고, 그 해답을 작성하는 방법을 알아보고자 한다.》

[문제 1]

:풀이 해설 및 정답:

위의 암호를 보면, DWWDFN 또는 DDWFWN으로 읽을 수 있다.

공격은 영어로 “ATTACK”이므로 거기에 맞춰서 암호의 규칙을 풀어야 하는데, ATTACK은 중복된 글자T가 두 번째 세 번째 사용되므로 DWWDFN으로 읽어야 함을 알 수 있다. 그렇다면 D는 A, W는 T, F는 C, N은 K로 대응됨을 알 수 있고, 이것은 알파벳에서 네 번째 앞에 오는 글자로 바뀜을 알 수 있다.

카이사르가 사용한 이 암호법의 대응 규칙을 표로 그려 보면 다음과 같다.

평 문abcdefghijklmnopqrstuvwxyz
암호문DEFGHIJKLMNOPQRSTUVWXYZABC

카이사르의 암호법에 의하면, 위에 주어진 문장 L OLNH PDWK는 “I like math”로 해석됨을 알 수 있다.

[문제 2]

:풀이 해설 및 정답:

“긴 부분과 짧은 부분의 길이의 비가 전체와 긴 부분의 길이의 비와 같아지는 경우를 말한다”라고 했으므로, 선분을 둘로 나누어 짧은 부분을 1로 긴 부분을 x로 잡는다(즉 x>1).

그러면 이 선분의 전체 길이는 1+x가 됨을 알 수 있다.

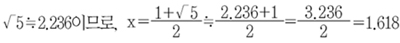
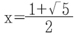
위 문장에 따라 비례식을 만들면 x : 1=1+x : x 가 된다. 정리하면 x²-x-1=0이다.

근의 공식을 이용하여 근을 구하면, 인데, 여기에서 x>0이므로, 근은 이다. 이다.

따라서 황금비는 약 1 대 1.618이고, 괄호 안에 들어갈 숫자는 1.618임을 알 수 있다.

[문제 3]

:풀이 해설 및 정답:

우선, 원판의 개수가 2개인 경우, 최소 이동 횟수는 3번이고, 3=2²-1이다. 그리고 원판의 개수가 3개라면, 위의 작은 것 2개를 다른 한 막대에 옮기고 가장 큰 원판을 옮기고자 하는 막대에 옮기고 나서 다시 한 막대에 있던 작은 2개의 원판을 가장 큰 원판 위로 옮기면 된다. 따라서 원판의 개수가 3개인 경우에는 최소 이동 횟수가 2×3+1=7번임을 쉽게 알 수 있고, 7=2³-1임도 알 수 있다. 이와 같은 방법을 계속하여, N-1개의 원판을 옮기는 데에 2-1번이 걸렸다면, N개의 원판을 옮기는 데 필요한 이동횟수는 2(2-1)+1=2-1임을 알 수 있다. 그러므로 일반적으로 원판의 개수가 N개인 경우에 그 원판들을 다른 기둥으로 옮기는 데에 필요한 이동 횟수는 2-1이다. 그러면, 원판의 개수가 64개인 경우에는 264-1번, 즉 18,446,744,073,709,551,615번을 움직여야 한다. 따라서 승려들이 원판 1개를 옮기는 데 1초 걸린다고 하였으므로, 이 원판을 모두 옮기는 데 필요한 시간은 약 5849억 년이다.

천문학자들의 말에 의하면 우주의 나이는 약 200억 년, 지구의 나이는 약 30억 년이라고 한다. 그러므로 이 전설에 의하면 지금으로부터 세상의 종말이 올 때까지는 약 5000억 년의 세월이 남아 있다.

심소연 정보학원 중등부 수학과 팀장

트렌드뉴스

트렌드뉴스

  • 좋아요
    0
  • 슬퍼요
    0
  • 화나요
    0

댓글 0

지금 뜨는 뉴스