[신나는 공부]외국어高 진학, 구술면접서 갈린다

  • 입력 2006년 11월 28일 03시 02분


2007학년도 외국어고 신입생 선발시험에서는 구술면접과 학업적성 검사가 당락에 큰 영향을 미친 것으로 나타났다. 논리적 문장에 대한 이해력을 기르고 다양한 문제를 수시로 접해 보는 것이 필요하다. 동아일보 자료 사진
2007학년도 외국어고 신입생 선발시험에서는 구술면접과 학업적성 검사가 당락에 큰 영향을 미친 것으로 나타났다. 논리적 문장에 대한 이해력을 기르고 다양한 문제를 수시로 접해 보는 것이 필요하다. 동아일보 자료 사진
2007학년도 서울 및 경기지역 외국어고 신입생 선발시험에서는 구술면접과 학업적성검사가 당락에 가장 큰 영향을 미친 것으로 나타났다. 그중 창의성과 사고력을 필요로 하는 문제(사고력 문제)가 가장 많이 출제됐으며 새로운 유형이 많아 수험생의 체감난이도도 가장 높았던 것으로 분석됐다.

이에 따라 2008학년도 외고 입시를 준비하는 학생은 보다 다양한 사고력 문제를 접하는 것이 필요할 것으로 보인다. 외고 구술면접의 출제경향과 대비방법을 살펴본다.

▽출제경향=2007학년도 서울지역 6개 외고 특별·일반전형 구술면접에선 10문항 중 3문항이 사고력 문제였다. 특별전형의 경우 학교에 따라 10∼18문항이 출제됐으며 영역별로는 사고력 문제가 33%, 언어 35%, 영어독해 28%, 사회교과 3%, 인성 문제가 1%였다. 사고력 문제 출제비중은 전년도 26%에서 33%로 높아졌다.

특별전형 사고력 문제는 도형을 제시하고 공간지각 능력을 평가하는 문제와 주어진 조건을 해석해 규칙성을 찾는 문제가 주로 출제됐다. 대원외고는 10문항 중 4문항으로 분수로 된 수식과 ‘독도는 우리 땅’이라는 문장 사이의 규칙을 파악한 뒤 특정 수식을 한글로 표현하는 규칙성을 찾는 문제, 15개의 나무 중 몇 개를 골라 직육면체를 만드는 문제 등이 나왔다. 일반전형에선 학교별로 10∼12문항이 출제됐으며 이 중 사고력이 39%, 언어 32%, 영어 20%, 사회교과 9%로 사고력 문제의 비중이 가장 높았다. 서울 6개 외고가 공동 출제한 일반전형 사고력 문제는 총 5문제로, 학교마다 3∼5문항을 선택했다.

2개의 바늘이 가리킬 때마다 켜지는 24개의 분수에서 5분 동안 켜지는 분수의 순서쌍을 찾는 문제, 50곡의 노래를 주어진 조건에 따라 모두 들을 수 있는 최단 시간을 구하는 문제, MP3플레이어 액정화면에 특정 글자가 시간에 따라 움직일 때 문자가 다시 나타나는 시간을 구하는 문제 등이 출제됐다.

경기권 외고 특별·일반전형 학업적성검사는 영어독해 수리사고력 언어 3영역이 고루 출제됐다. 학업적성검사는 학교별로 8∼30문항이 출제됐고 영어독해 37.4%, 언어 31.8%, 수리사고력 30.8%의 비율이었다.

고양 명지 과천 안양 김포 5개 외고에선 사고력 문제로 유산배분에 따른 이익과 손해를 추정하는 문제, 외대부속외고는 대인국과 소인국 사람 간의 체형을 비교하는 문제, 거울 속 시계를 보고 난 뒤 30분이 지난 후 시계 모습을 고르는 문제 등이 출제됐다.

▽대비방법=최근 3년간 서울 및 경기지역 외고의 구술면접 기출문제를 모두 풀어보며 문제유형을 익히는 것이 필요하다. 다른 학교에 출제됐던 사고력 문제가 다시 출제된 사례도 있으므로 기출문제는 반드시 풀어보도록 한다.

사고력 문제는 긴 문장으로 제시되므로 논리적 문장에 대한 이해력을 키우는 것이 중요하다. 공식에 따른 계산 위주의 수학문제보다 증명과 같은 논리문제를 많이 다뤄보는 것이 도움이 된다. 적중문제나 예상문제 중심으로 공부하기보다는 여러 소재를 활용한 다양한 문제를 풀어보는 것이 좋다.

어느 정도 실력이 있는 학생은 경시대회 문제를 많이 접해보고 실전에 나가 어려운 문제를 정해진 시간 내에 푸는 감각을 기르는 것도 좋은 방법이다. 긴장감을 유지하며 새로운 문제를 접하는 경험을 많이 해 보면 매년 새롭게 출제되는 다양한 사고력 문제에도 당황하지 않을 수 있다.

사고력 문제는 어릴 때부터 접하는 것이 유리하다. 구술면접 사고력 문제는 교육청 영재교육원 1, 2차 선발시험과 유형이 흡사하므로 영재교육원 문제를 많이 풀어 보고 매주 새로운 콘텐츠를 제공하는 홈페이지나 학원 등 자신에게 적합한 학습환경을 찾아 학습하는 것이 도움이 된다.

임성호 하늘교육 기획이사

2007학년도 서울지역 외고 구술면접 출제비율(일반전형)
구분언어영어사고력사회교과
대원325111
대일324110
명덕424111
한영325-10
이화333211
서울524112
합 계21(32.3%)13(20.0%)25(38.5%)6(9.2%)65(100%)

2007학년도 경기지역 외고 학업적성검사 출제비율(일반전형)
구분영어독해언어수리사고력합계
한국외국어대 부속-6∼812∼1420
명지20202060
과천24202064
안양23251664
고양30-2050
김포 8101331
동두천1616 840
수원1616 840
성남1616 840
합 계153(37.4%)129∼131(31.8%)125∼127(30.8%)409(100%)
자료: 하늘교육

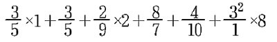
■ 2007학년도 대원외고 특별전형 구술면접 문제

<문제> 다음은 주어진 문구를 어떤 규칙에 따라 암호문으로 바꾼 것이다.

<풀이>

위의 숫자를 보고 규칙을 찾아보면 분수의 분자는 초성, 분수의 분모는 중성, 곱하는 수는 종성이다. 따라서

은 당연합니다가 된다.

■ 2007학년도 한국외국어대 부속 외고 특별전형 구술면접 문제

<문제> <그림 1>과 같은 키패드가 있는 연구소가 있다. 어느 날 첩보원은 이 연구소에서 기밀문서를 가져오라는 명령을 받았다. 첩보원은 온도감지기를 이용하여 이 연구소에 잠입을 계획하였다. 이 온도감지기는 <그림 2>와 같이 색깔로 온도를 감지한다. 첩보원은 연구소에서 일하는 직원이 키패드를 누르고 연구소 안으로 들어갔을 때, 바로 온도감지기를 이용하여 키패드를 보았다. 그러자 온도감지기로 본 키패드는 <그림 3>과 같이 되었다. 키패드의 암호를 구하여라.

<풀이>

온도감지기에서 나타나는 색깔로 숫자 키패드의 온도를 맞출 수 있다.

먼저 누른 키패드의 버튼은 온도가 다른 3개의 버튼보다 낮은 온도이다.

따라서 온도의 순서를 생각했을 때, 비밀 번호는 2, 7, 0, 3이다.

※ 위 문제는 2007학년도 경기권 9개외고 특별 일반전형에 각각 응시한 수험생을 대상으로 유추한 문제로 실제 문제와는 다소 다를 수 있음.

트렌드뉴스

트렌드뉴스

  • 좋아요
    0
  • 슬퍼요
    0
  • 화나요
    0

댓글 0

지금 뜨는 뉴스