본문으로 바로가기
오피니언
정치
경제
국제
사회
문화
연예
스포츠
헬스동아
트렌드뉴스
통합검색
마이페이지
전체메뉴 펼치기
사회
[理知논술/특목고 입시 대비]2007 외고 특별전형 사고력 문제
업데이트
2009-09-29 01:24
2009년 9월 29일 01시 24분
입력
2006-11-14 02:59
2006년 11월 14일 02시 59분
코멘트
개
좋아요
개
코멘트
개
공유하기
공유하기
SNS
퍼가기
카카오톡으로 공유하기
페이스북으로 공유하기
트위터로 공유하기
URL 복사
창 닫기
즐겨찾기
읽기모드
뉴스듣기
글자크기 설정
글자크기 설정
가
가
가
가
가
창 닫기
프린트
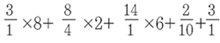
다음은 주어진 문구를 어떤 규칙에 따라 암호문으로 바꾼 것입니다.
繭遮
트렌드뉴스
많이 본
댓글 순
1
격전지 된 대구, 김부겸 vs 국힘 ‘양자대결’…이진숙 불출마
2
전쟁 장기화 대비하는 미국, 이란에 최대 군사력 집결
3
“내 애인해도”… 女 등산객들에 추파 던진 원미산 할아버지
4
장동혁 ‘차관보급 면담’ 두 번 틀렸다…국힘 “잘못 알렸다면 사과”
5
모스크바 공항에 나타난 북한 청년들[주성하의 ‘北토크’]
6
홍준표 “숙주 옮겨 다니는 에일리언 정치인, 말로가 비참할 것”
7
“너 덕분에 살았다”…구조견 껴안고 펑펑 운 빗속 산골 실종자
8
맥주 마시면 기분 좋아지는 이유…알코올 말고 ‘이것’ 때문?
9
“내 부모라면?”…의사 100명에게 물어본 무릎 치료 ‘기준’
10
세금 걱정은 덜고 월 배당은 따박따박[은퇴 레시피]
1
격전지 된 대구, 김부겸 vs 국힘 ‘양자대결’…이진숙 불출마
2
홍준표 “숙주 옮겨 다니는 에일리언 정치인, 말로가 비참할 것”
3
李 “터무니없어”…정동영 “저의 의심”…위성락 “사달났다”
4
美국방 “유럽-아시아, 호르무즈 무임승차 끝났다”
5
장동혁, 사퇴론 일축 “지방선거 마무리하고 평가받겠다”
6
전쟁 장기화 대비하는 미국, 이란에 최대 군사력 집결
7
[속보]이진숙, 대구시장 불출마…“국힘 후보에 힘 보탤 것”
8
장동혁, 사퇴 요구 일축…“선거 마무리하고 평가받겠다”
9
“학생, 담배 꺼” 훈계하다…자녀앞에서 모욕당하고 파출소까지
10
“내 애인해도”… 女 등산객들에 추파 던진 원미산 할아버지
트렌드뉴스
많이 본
댓글 순
1
격전지 된 대구, 김부겸 vs 국힘 ‘양자대결’…이진숙 불출마
2
전쟁 장기화 대비하는 미국, 이란에 최대 군사력 집결
3
“내 애인해도”… 女 등산객들에 추파 던진 원미산 할아버지
4
장동혁 ‘차관보급 면담’ 두 번 틀렸다…국힘 “잘못 알렸다면 사과”
5
모스크바 공항에 나타난 북한 청년들[주성하의 ‘北토크’]
6
홍준표 “숙주 옮겨 다니는 에일리언 정치인, 말로가 비참할 것”
7
“너 덕분에 살았다”…구조견 껴안고 펑펑 운 빗속 산골 실종자
8
맥주 마시면 기분 좋아지는 이유…알코올 말고 ‘이것’ 때문?
9
“내 부모라면?”…의사 100명에게 물어본 무릎 치료 ‘기준’
10
세금 걱정은 덜고 월 배당은 따박따박[은퇴 레시피]
1
격전지 된 대구, 김부겸 vs 국힘 ‘양자대결’…이진숙 불출마
2
홍준표 “숙주 옮겨 다니는 에일리언 정치인, 말로가 비참할 것”
3
李 “터무니없어”…정동영 “저의 의심”…위성락 “사달났다”
4
美국방 “유럽-아시아, 호르무즈 무임승차 끝났다”
5
장동혁, 사퇴론 일축 “지방선거 마무리하고 평가받겠다”
6
전쟁 장기화 대비하는 미국, 이란에 최대 군사력 집결
7
[속보]이진숙, 대구시장 불출마…“국힘 후보에 힘 보탤 것”
8
장동혁, 사퇴 요구 일축…“선거 마무리하고 평가받겠다”
9
“학생, 담배 꺼” 훈계하다…자녀앞에서 모욕당하고 파출소까지
10
“내 애인해도”… 女 등산객들에 추파 던진 원미산 할아버지
좋아요
0
개
슬퍼요
0
개
화나요
0
개
댓글
0
댓글을 입력해 주세요
등록
지금 뜨는 뉴스
北, 인민혁명군 창건 94주년 맞아 ‘백두산정신’ 계승 강조
홍준표 “숙주 옮겨 다니는 에일리언 정치인, 말로가 비참할 것”
김 총리 “붉은사막 최단기 500만장 판매 쾌거…K-게임, K-콘텐츠 새 챕터 열어”
닫기
댓글
0
뒤로가기
댓글 0