공유하기
입력 2007년 1월 23일 02시 53분
공유하기
글자크기 설정
주요 대학 논술 예시문항 유형에 맞춘 실전문제 및 풀이
제시문의 자료를 참조해 주어진 논제에 답하시오.
[제시문 1]
이분법이란 가장 원시적인 생식법으로 체세포 분열을 통해 생긴 똑같은 크기의 2개 세포가 떨어져서 각각 새로운 개체를 형성한다. 체세포 분열이 곧 생식이다. 환경이 좋으면 짧은 시간에 많은 개체를 얻을 수 있다. 아메바, 짚신벌레, 유글레나, 클로렐라, 돌말, 장구말 등의 단세포 생물의 번식법이다. 짚신벌레는 가장 유명한 원생동물로, 단세포동물이다. 담수에 살며 못·도랑·논·늪 등에 흔히 있다. 입의 뒤쪽에서 가로로 이분열하여 증식한다.
[탐구] 승찬이는 짚신벌레의 생장을 알아보기 위하여 실험을 하였으며 그 결과 다음과 같은 사실을 발견할 수 있었다. 즉, 일정한 크기의 용기에 담수를 가득 담고 짚신벌레 한 마리를 놓았다. 이 용기의 한계는 1024마리까지이고, 자연환경이 항상적이라면 짚신벌레의 기대되는 생장곡선의 함수는
[제시문 2]
헤모글로빈은 산소의 분압이 높은 폐에서는 산소와 쉽게 결합하여 산소헤모글로빈이 되고, 산소의 분압이 낮은 조직에서는 산소와 쉽게 해리하여 다시 헤모글로빈이 된다 헤모글로빈과 산소 사이의 이러한 가역반응을 통해 헤모글로빈은 산소를 조직 세포로 운반하게 된다.
산소분압이 약 100mmHg인 허파에서는 헤모글로빈이 거의 100% 포화되며, 몸에서 심장으로 돌아오는 혈액의 산소분압은 약 40mmHg로 75%의 포화도를 나타낸다. 앞의 그림은 산소 분압에 따른 산소 포화도를 나타낸 것이다.
(단 이산화탄소 분압 차에 의한 산소 포화도 변화는 없다고 가정한다.)
[제시문 3]
반응 물질의 농도가 증가하면 단위 부피 속의 입자 수가 증가하여 입자들 사이의 충돌 횟수가 증가하므로 반응 속도가 빨라진다. 아래 그림은 이 원리를 도식적으로 나타낸 것이다.
[논제 1]
탐구에서 주어진 사실을 토대로 짚신벌레의 생장곡선의 그래프를 경과일수에 따른 개체수로 한 좌표평면상에 나타내고 설명하여 보아라. 또한, 실제의 증가곡선에서 가장 큰 증가를 보이는 시점을 구하여 보고, 10일 동안의 환경저항의 양을 계산하여 보아라.
[논제 2]
짚신벌레의 생장 곡선과 산소분압에 따른 산소포화도의 변화 그래프가 S자 형태로 나타나는 이유를 서로 비교 분석하여 설명하시오. 또한 산소 포화도 곡선이 일차 함수인 경우에 비해 S자 형태를 지닐 때 유리한 점은 무엇인지 유추해 보시오.
□ 출제 의도
[논제 1] 기대되는 생장곡선 함수와 실제 증가곡선 함수의 그래프를 한 좌표평면에 도시하고 설명할 수 있으며, 실제 증가곡선에서 기울기가 가장 큰 지점을 결정하고 적분을 통하여 환경저항의 양을 계산할 수 있는지를 확인한다.
[논제 2] 산소 포화도 곡선과 생장 곡선이 S자 형태로 나타나는 이유를 각각 제시된 자료에서 유추할 수 있는지 파악하고, 직선 형태에 비해 S자 형태의 산소 포화도 곡선이 가지는 장점을 이해하는지 파악하기 위해 출제하였다.
□ 예시답안
[논제 1]
첫째, 그래프를 도시하여 보자.
기대되는 생장곡선함수는 인 지수함수이므로 기하급수적으로 증가한다. 따라서, 용기의 한계인 1024까지는 10일이면 도달하게 된다.
환경저항으로 인한 실제의 곡선을 그리기 위하여 증감, 변곡점, 극한값을 살펴보자.
f(0)=1이고,
이므로 아래로 볼록인 함수이고, log₂1023〈t 에서
이므로 위로 볼록인 함수이다. 또한,
이므로 극한값은 1024로 수렴함을 알 수 있다. 실제 증가곡선은 S형의 형태를 취하며 그래프로 도시하면 다음과 같다.
둘째, 실제의 증가곡선에서 가장 큰 증가를 보이는 시점은 처음에는 점점기울기가 증가하다가 변곡점을 기점으로 다시 점점 작아짐을 보이고 있다. 즉, 변곡점이 가장 기울기가 큰 점이고 따라서, 가장 큰 증가가 일어나는 점이다. 변곡점을 구하면 약 (10, 512) 이다.
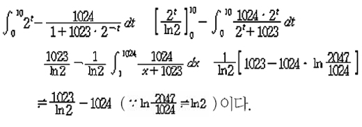
셋째, 10일 동안의 환경저항의 양을 구하여 보자.
환경저항은 그래프에서 볼 수 있듯이 빗금 친 부분이다. 그러므로 정적분을 이용하여 환경저항의 양을 구해 보면
[논제 2] 짚신벌레 생장 곡선에서 경과일수가 작은 경우는 환경저항의 효과가 거의 없으므로 이분법에 의해 세대당 2배씩 개체 수가 증가한다. 현 세대의 개체 수는 다음 세대를 생산하는 반응물질에 해당한다고 볼 수 있으며, 그 결과 반응 속도, 즉 개체 수의 증가 속도가 빨라져 2 형태의 지수 함수적인 생장이 일어난다. 산소포화도 곡선에서 산소 분압이 작은 경우는 헤모글로빈의 4개의 헴 중 한 개의 헴에 산소가 결합하는 것으로 파악할 수 있으며 일단 한 개의 헴에 산소가 결합하고 나면 2, 3, 4번째 헴에 산소가 결합하는 것이 용이해지는 변화가 헤모글로빈에 일어나 조금의 산소분압 증가에도 포화도는 급격히 증가하게 된다.
짚신벌레 생장곡선의 경과일수가 큰 경우는 환경저항이 크게 작용하여 더는 생장이 일어나지 않아 개체 수는 포화된다. 산소포화도 그래프의 산소 분압이 큰 경우는 헤모글로빈의 4개의 헴에 산소가 거의 다 결합한 상태로 볼 수 있으며, 이 경우 산소와 결합할 헴의 농도가 작아지므로 헴과 산소가 결합하는 반응의 속도가 느려지게 되어 포화도가 더 이상 증가하기 어려워진다.
이러한 이유로 짚신벌레의 생장 곡선과 산소포화도 그래프는 S자 형태의 그래프로 나타나게 된다.
동맥에서 산소포화도가 100%이고 정맥에서 산소포화도가 75%였으므로 실제 조직에 전달된 산소는 25%에 해당한다. 75%의 산소는 헤모글로빈이 계속 함유한 채로 혈액은 인체를 순환한다.
이 경우 조지의 산소 분압이 40mmHg 이하로 내려가는 경우가 발생하면 산소 포화도가 급격히 감소하게 되어 조직세포로 대량의 산소를 전달할 수 있다. 즉, 산소 포화도 곡선이 S자 형태로 나타나게 되면 일차함수 형태인 경우에 비해 조직에 특별히 산소가 부족한 상황이 발생할 때 산소를 조직세포에 더 원활히 공급해 줄 수 있는 장점이 생긴다. 또한 산소 분압이 아주 높은 환경에서도 산소 포화도가 일정 수준 이상 증가 하지 않으므로 과도한 산소 유입에 의한 산소 중독을 방지할 수 있는 장점도 있다.
조 현 최강통론 통합과학논술 대표강사
김영규 최강통론 통합철학논술 대표강사
서 원 최강통론 통합수학논술 대표강사






댓글 0