공유하기
입력 2006년 5월 23일 03시 00분
공유하기
글자크기 설정
근의 공식만 알면 이차방정식은 쉽게 해결되죠
ax+b=0(단, a≠0)과 같이 일차식=0의 형태는 일차방정식, ax^2+bx+c=0과 같이 이차식=0 형태는 이차방정식이라고 한다. 즉, 모든 값을 좌변으로 이항하여 우변을 0으로 만들었을 때 가장 높은 차수가 이차식인 꼴을 이차방정식이라고 한다. 이차방정식 역시 방정식의 해(근)를 구하라는 것은 방정식을 만족하는 x 값을 구하는 것을 의미한다.
여기서 a, b, c의 값을 알면 우리는 이차방정식의 해를 쉽게 구할 수가 있는데 모든 이차방정식은 하나의 공식만 알면 해결할 수 있다. ax^2+bx+c=0을 일반화 시켜서 얻어낸 근의 공식은
이다.
처음 근의 공식을 접하면 어렵게 느껴질 수도 있지만 근의 공식은 수를 직접 대입만 하면 원하는 x값을 바로 얻어낼 수 있기 때문에 이차방정식의 해결사라고 할 만큼 대단한 힘을 가지고 있다.
근의 공식 안의 숨겨진 공식들
근의 공식은 이차방정식의 해를 구할 때만 중요한 역할을 하는 것이 아니다. 근의 공식 하나에는 많은 의미가 들어 있다. 그중 하나가 바로 판별식이다.
중학교 과정에서는 판별식이라는 용어를 사용하지 않지만 판별식이란 근의 개수를 알 수 있게 해주는 공식을 의미한다.
중에서 루트 안에 들어있는 b^2-4ac=0을 판별식이라고 하는데 그 결과가 0보다 큰지, 작은지, 0과 같은지에 따라 주어진 이차방정식의 근의 개수가 결정되기 때문이다.
이차방정식의 근의 개수
이차방정식 ax^2+bx+c=0 (a≠0)에서
① b^2-4ac > 0이면 서로 다른 두 실근
② b^2-4ac=0이면 중근 (근이 1개)
③ b^2-4ac < 0이면 근이 없다.
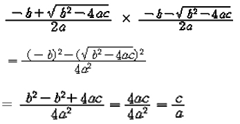
또 이 근의 공식을 이용하면 두 근의 합과 곱을 바로 구할 수 있는 공식을 유도해낼 수도 있다.
근의 공식에서 두 근은
와
을 의미하므로
직접 두 근의 합을 구해보면
(1) 두 근의 합

(2) 두 근의 곱
가 되기 때문에
다음과 같은 식을 완성할 수 있다.
이차방정식의 근과 계수와의 관계
이차방정식 ax^2+bx+c=0 (a≠0)의 두 근을 α, β라고 할 때
① 두 근의 합: 
② 두 근의 곱 : 
그렇다면 이차방정식 x^2―x―1=0의 두 근의 합과 곱은 어떻게 될까?
a=1, b=―1, c=―1이라는 것만 공식에 대입해보면
합은
원리만 안다면 남들보다 더 쉽고 빠르게 풀 수 있는 수학!
이것이 바로 수학의 묘미일 것이다.
강현정 엠베스트 교육㈜ 수학강사
■ 풀어서 보내요
가장 조화로우면서도 안정감이 있어 아름답다는 비율인 ‘황금비’는 사람의 몸에서도 찾아볼 수 있다. 일반적으로 사람은 8등신인 사람을 기준으로 머리부터 배꼽, 배꼽부터 다리까지가 황금비라고 한다. 황금비는 다음과 같은 식을 만족한다고 한다.
‘배꼽 위를 1 로 놓고, 배꼽 아래를 x 라고 하면 전체 키에 대한 x의 비와 x에 대한 1 의 비는 같다.’
이러한 조건을 이용해 황금비를 직접 구해보자.
■글 싣는 순서
[8]생활 속의 부등식 [9]생활 속의 함수1 [10]생활 속의 함수2 [11] 생활 속의 통계 [12] 생활 속의 기하
■ 과학 - <7>플라스틱의 종류
탄소(원소기호:C)와 수소( 원소기호:H)의 조합으로 이루어진 ‘플라스틱’은 우리 주변에서 쉽게 접할 수 있는 소재이다. 하지만 ‘플라스틱’ 종류가 다양하다는 것은 미처 몰랐을 것이다.
주변의 플라스틱 용기를 한번 뒤집어 보자. 아래와 같은 재활용 마크와 영어 약자를 볼 수 있다.
1번. PET - 페트병[폴레에틸렌 테레프탈레이트]
1번병은 PET ( PETE 라고도 한다)인데 흔히 페트병이라 부르지만 정식명칭은 ‘폴리에틸렌 테레프탈레이트’이다. 페트병은 대부분 투명한 재질들이 많고 주로 음료수 종류들을 많이 담아둔다.
반응성도 큰 편이여서 진한 황산에 페트병을 담아두면 30분 정도 후 병이 녹아버린다.
2번. PE - 폴리에틸렌
2번병의 소재는 PE, 즉 폴리에틸렌이다.
‘폴리’는 여러 개라는 의미로서 폴리에틸렌은 에틸렌이 여러 개 모여 이루어진 것을 말한다.
2번에서 의미하는 ‘HDPE’는 고밀도의 폴리에틸렌을 뜻한다.
욕실에서 사용하는 샴푸나 보디용품, 욕실 세제류 용기는 대부분 폴리에틸렌 소재다.
폴리에틸렌병은 페트병보다 훨씬 안정적인 물질이어서 강력한 세정제를 오랜 기간 담고 있어도 녹지 않는다.
3번. PVC - 폴리염화비닐
폴리염화비닐은 염화비닐이 여러 개 모여 구성된 것으로 탄소와 수소 원자 이외에도 염소원자가 포함되어 있다. 염소의 원소기호는 CL로 염소원자가 두 개 모이면 CL2가 되는데 이것이 제2차 세계대전 때 유대인 학살에 사용된 독가스이다. 또한 염소원자가 수소원자와 결합하면 유독성이 강한 염산이 된다.
이런 염소원자가 포함된 염화비닐로 구성된 폴리염화비닐, 즉 PVC는 몸에 해로울 수밖에 없다. 게다가 PVC를 태울 때 발생하는 다이옥신은 독극물이 청산가리보다 1000배나 강한 독성을 갖고 있다.
5번. PP - 폴리프로필렌
여러 개의 프로필렌( C3H6 )으로 구성된 폴리프로필렌은 폴리에틸렌과 비슷하게 화학적으로 안정해서 샴푸, 락스 같은 세제류도 담을 수 있고, 전자레인지에 가열해도 문제가 되지 않는다.
6번. PS - 폴리스티렌
스티렌은 에틸렌이나 프로필렌처럼 탄소와 수소로만 이루어져 있기는 하지만 잘 떨어져 나오는 벤젠고리를 가지고 있다. 벤젠은 심각한 화재위험에 폭발위험까지 일으킬 수 있는 대표적인 발암물질이다.
이러한 스티렌이 모여 구성된 폴리스티렌, PS로 만든 것이 바로 컵라면 용기다. 폴리스티렌은 뜨거운 기름기 있는 국물을 담는 경우 환경호르몬의 일종인 ‘스티렌다이머’나 ‘트리머’ 등이 검출될 수 있다. 그런데 라면이 바로 뜨거운 기름기 있는 국물이므로 환경호르몬의 검출이 심각한 것이다. 환경호르몬은 인간의 생식기능 저하에 성장장애, 기형, 암까지 유발하는 유해물질이므로 되도록 PVC나 PS는 전자레인지용이나 뜨거운 음식물을 담을 때에는 사용하지 말아야 한다.
결론적으로 PET(페트), PE(폴리에틸렌), PP(폴리프로필렌)에 비해 PS(폴리스티렌) 또는 PVC(폴리염화비닐)가 뜨거운 상태에서는 나쁜 화학물질이 녹아나올 수 있음을 알고 있으면 실생활에서도 용도에 따라 플라스틱 용기들을 잘 이용할 수 있다. 또한 분리수거에도 앞장서서 건강과 환경사랑을 실천해보도록 하자!
최은정 엠베스트 교육㈜ 과학강사
■풀어서 보내요
1. 1. 1. 탄소(원소기호:C)와 수소(원소기호:H)원자가 모여 메탄(CH4)분자를 이룬다. 원자와 분자를 구별하여 서술하여라.
■글 싣는 순서
[8]드라이아이스 이야기 [9]바닷가 이야기(암석) [10] 바닷가 이야기(곶과 만) [11] 여러가지 원소와 이온 이야기 [12] 눈(Eye)에 대하여
■이 사이트로 보내세요
‘풀어서 보내요’ 문제에 대한 답을 다음 주 월요일까지 보내 주세요. 잘된 답 가운데 일부를 선정해 선물을 보내드립니다.
글 보내실 곳: www.easynonsul.com → 중학논술 →교과원리→해당과목(www.easynonsul.com/Middle/Lecture/)
, 두 근의 곱은
로 단 몇 초 만에 구할 수 있다.
댓글 0