[理知논술/2008 대입논술 실전 해설]고려대 과학 논술

  • 입력 2007년 10월 8일 03시 00분


《대입 논술 시험이 두 달 앞으로 다가왔다. 이제 대학별 논술고사의 유형을 파악하고 실전 요령을 익혀야 할 때다. 이지논술은 ‘2008 대입논술 실전 해설’을 시리즈로 싣는다. 수험생이 막바지 단계에서 꼭 알아둬야 할 논술 고득점 요령을 예시문항과 함께 살펴본다. 대입전문 온라인 교육업체인 ‘스카이에듀’가 인문계는 ‘대학별 맞춤형 해설’을, 자연계는 ‘최근 출제 경향 해설’을 중심으로 진행한다.》 ▶easynonsul.com 및 스카이에듀 홈페이지(www.skyedu.com)에 풀이 및 동영상 해설

2008 자연계 모의고사 문제 Ⅰ, Ⅱ, Ⅲ 해설

교과서 지문 활용 과학-수리 통합형 출제

■ 특징

고려대는 4월 7일 실시한 모의 논술고사에서 자연계의 경우, 6문항에 180분의 시간을 주었다. 이 모의 논술고사를 분석해 볼 때 주목할 만한 특징은 다음과 같다.

첫째, 언어의 비중이 대폭 축소되었다.

둘째, 과학 교과 간 그리고 과학과 수리를 통합한 문제가 다수 출제되었다.

셋째, 대부분의 지문이 고등학교 교과서에서 직접 발췌하는 등 고등학교 범위를 벗어나지 않았다. 제시문과 논제에 사용된 소재와 개념은 이미 고등학교 교과서를 통해 익숙하게 다뤄지는 것이었다.

넷째, 그러나 익숙한 개념에 대한 정확하고 깊이 있는 심층적인 지식과 수학적 계산 능력 등을 요구하는 문제가 출제되었다. 화학 문제의 경우, 화학Ⅱ의 내용까지 다뤘는데 완충용액의 개념을 모르면 처음 3문항은 모두 풀 수 없는 문제였다.

다섯째, 과학적 이해와 능력을 바탕으로 일반 사회 문제에 대한 이해를 요구하는 통합적 논술 능력도 측정하고자 하였다.

그럼 이러한 특징 분석을 바탕으로 고려대가 출제한 자연계 모의 논술고사 문제를 풀어보자.

■ 배경지식

○ 완충용액은 어떻게 해서 몸의 pH 변화를 막는가

우리 몸은 수없이 많은 화학반응이 쉴 새 없이 일어나는 작은 화학 공장이다. 이러한 화학반응 중 많은 경우, 산-염기의 반응이 일어난다. 이러한 산-염기 반응은 우리 몸의 평형을 교란시킬 수 있고, 나아가 생명 현상에 심각한 영향을 줄 수 있다. 예를 들어 콘택트렌즈를 세척하는 식염수는 염화나트륨과 붕산 등의 완충용액(buffer solution)을 사용하여 삼투압과 pH를 눈물과 같게 만들었다. 그렇지 않으면 렌즈 내 우리 눈의 분자 구조는 파괴되고 만다. 또한 우리 몸에서 이루어지는 대부분의 화학 반응은 효소의 촉매 작용으로 일어나는데, 이러한 효소는 단백질로 구성되어 있다.

그런데 단백질은 pH의 변화에 매우 민감하다. 만약 pH가 적정 pH 범위를 벗어나게 되면 이러한 단백질로 이루어진 효소의 기능은 결국 억제될 것이다. 그러면 우리 몸은 어떻게 해서 이러한 pH 변화를 극복하는가? 그것은 다행히 우리 몸이 완충용액으로 구성되어 있기 때문이다. 완충용액은 외부에서 산이나 염기를 가해도 용액의 pH가 크게 변하지 않는 용액이다. 그럼 우리 몸은 어떻게 완충 작용을 하는 것일까?

다시 말해서 완충용액은 어떻게 pH 변화를 막게 되는 걸까? 완충용액은 약산과 그의 짝염기 형태 혹은 약한 염기와 그 약한 염기의 짝산을 갖는 염으로 구성되어 독특한 화학 반응을 한다. 약산인 CH₃COOH와 CH₃COOH의 짝염기인 CH₃COO-를 갖는 CH₃COONa로 구성된 아세트산 완충용액을 생각해 보자. 이 완충용액에 외부에서 산성 물질이 유입되면 짝염기인 CH₃COO-가 외부에서 공급된 양성자(H+)와 반응하여 CH₃COOH로 변한다. 반대로 외부에서 염기성 물질이 유입될 때는 약산인 CH₃COOH가 수산화이온(OH-)과 반응하여 CH₃COO-로 변한다. 그러므로 산과 염기가 들어와도 H+나 OH-는 증가하지 않게 된다. 결론적으로 이러한 화학 반응으로 우리 몸의 pH 변화가 거의 없게 되는 것이다.

[논제Ⅰ] 제조한 완충 용액과 A지시약 용액의 성질을 이용하여, 현재 내리고 있는 비의 산성도를 측정하는 방법을 제시하시오.

문제에서 현재 내리고 있는 비의 산성 여부를 알고자 하나 pH미터가 없고, 변색범위만 알려져 있는 A 지시약이 있을 뿐이다. 이 지시약은 pH 5.1∼5.5에서는 주황색이고, 그 범위를 벗어나면 노란색과 붉은색을 나타낸다. 산성비의 경우, pH가 5.6 미만이라는 것이 문제에서 주어져 있으므로 빗물에 이 지시약을 넣어서 주황색이 나오면 일단 산성비이다. 그러나 이 변색 범위를 벗어난 산성비의 경우, 지시약의 색깔이 어떻게 될지 전혀 알 수가 없다. 그래서 우리는 문제에서 주어진 아세트산과 아세트산나트륨으로 완충용액을 제조하여 이 완충용액의 pH를 구하고 이 pH에서 지시약이 어떠한 색을 나타내는지를 먼저 알아내야 한다. 그 후, 비에 지시약을 떨어뜨려 색깔을 살펴보고, 이 비의 산성도가 산성비의 범위 안에 들어 있는지를 판단하면 될 것이다.

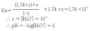
그렇다면 이제 문제에서 주어진 완충용액의 pH를 계산해 보자.

아세트산나트륨과 아세트산의 초기 농도비가 1.74배이므로 완충용액이 평형에 도달하면,

이때 평형상수는 변하지 않으므로, 화학 평형식을 써 보면,

위의 평형상수값이 매우 작기 때문에 약산인 아세트산의 이온화가 매우 작다는 것을 알 수 있고, χ값 역시 작을 것이므로 근사적으로 계산하면,

이 완충용액의 pH는 5이다. 이제 여기에 지시약을 떨어뜨려서 지시약의 색깔 변화를 관찰한다. 노란색이 나올 수도 있고 붉은색이 나올 수도 있다. 그리고 마지막으로 비에 지시약을 넣어서 위의 완충용액과 같은 색이 나오면 적어도 pH 5 미만의 산성비라고 결론을 내릴 수 있다. 또 pH 변색 범위 5.1∼5.5에서 주황색이 나타난다고 하였으므로, 주황색이 나타나도 산성비라고 결론을 내릴 수 있다. 반면, 주황색도 아니고 위 완충용액과 동일한 색이 나타나지 않는다면, 산성비가 아니라고 결론을 내리면 된다.

[논제Ⅱ] 제시문 (가), (나)를 토대로 해서, 과로나 과격한 운동으로 인체가 피로를 느끼는 원인과 다시 항상성을 회복하는 현상을 각각 설명하시오.

제시문 (나)에 따르면 생명체는 생명활동을 위해서 물질대사를 해야 하고, 물질대사에는 효소의 도움이 절대적으로 필요하다. 효소는 단백질로 구성되어 있으므로 pH에 의해 그 구조가 변한다. 결국 효소의 활성은 pH 변화에 민감하게 영향을 받게 된다. 그러므로 과로나 과격한 운동을 하게 되면, 젖산이 분비되어 혈액과 몸속의 pH 감소를 가져 온다. 이러한 pH의 변화는 단백질로 구성된 효소의 구조를 변화시키고 결국 효소의 활성을 막는다. 그 결과 물질 대사를 제대로 할 수 없게 되어, 우리 몸은 생명 활동을 제대로 할 수 없게 되는 것이다. 결국 인체가 피로를 느끼게 되는 것은 pH 변화로 인한 효소의 비활성화 때문이라고 말할 수 있다.

그렇다면, 인체는 어떻게 항상성을 회복하는가? 첫째, 제시문에서처럼 인체는 생성된 수소이온을 헤모글로빈과 결합하여 혈액의 pH가 급격하게 변하는 것을 막는다. 둘째, 세포의 활동으로 생성된 이산화탄소가 혈액 중에서 탄산과 탄산 수소이온으로 변하게 되므로 완충용액을 구성하게 된다. 이러한 완충용액이 pH 변화를 막게 되므로, 우리 몸은 젖산 분비로 인한 pH 변화를 즉시 회복하게 된다. 그래서 우리 몸은 다시 정상적인 pH를 유지하게 되고, 효소도 제 기능을 하게 되므로 생명활동을 제대로 할 수 있다. 결국 우리 몸의 혈액이 완충용액이므로 우리 몸은 젖산 분비로 인한 pH 변화를 막고 항상성을 유지할 수 있게 되는 것이다.

[논제Ⅲ] 한미 FTA에서의 농업부문 완충방안을 화학에서의 완충작용과 비교하여 논하시오.

첫째, 완충용액에서의 완충작용은 변수가 외부에서 공급되는 산과 염기 둘밖에 없지만 FTA에서의 완충방안에서 외부 변수는 돼지고기, 쇠고기, 닭고기, 사과, 배, 오렌지 등 다양하다.

둘째, 완충용액에서 외부 변수는 한꺼번에 공급되지만, FTA에서는 7년에서 20년에 걸쳐 관세를 철폐하므로 외부 변수는 서서히 공급된다.

셋째, 완충용액에서 완충 효과는 즉시로 나타나고 즉시 관찰할 수 있지만 FTA의 경우 그 효과가 장시간에 걸쳐 나타나고 오랜 시간 관찰된다.

넷째, 화학반응은 자발적으로 일어나지만 FTA에서의 완충장치는 인위적인 것이다.

다섯째, 완충용액에서는 완충계가 직접 작용하여 완충역할을 하지만 FTA의 경우 농업 자체가 아닌 세이프 가드, 저율할당관세, 계절관세 등 외부적 제도가 완충 역할을 한다.

여섯째, 완충용액은 외부의 산이나 염기에 의한 pH 변화를 막는 한정된 완충용량이 존재하지만 FTA에서 농업 분야의 경우 완충 효과가 없을 때 농가소득 보전, 폐업 보상, 나아가 전업이 불가능한 고령의 농민들에 대한 생활 보장에 이르기까지 추가적인 완충방안이 뒤따르는 등 완충용량이 제한적이지 않다.

이상조 스카이에듀 과학논술팀 강사

트렌드뉴스

트렌드뉴스

  • 좋아요
    0
  • 슬퍼요
    0
  • 화나요
    0

댓글 0

지금 뜨는 뉴스