[理知논술]자연계 대입 실전 논술

  • 입력 2007년 2월 6일 02시 57분


《2008학년도부터 자연계도 통합교과형 논술을 치르는 대학이 늘어난다. 하지만 자연계 학생들은 인문계 학생들에 비해 논술을 더욱 어렵게 느낀다. 더구나 아직 어떤 형식으로 문제가 출제될지도 모르는 형편이다. 주요 대학의 자연계 논술 예시문항 유형에 맞춰 만들어진 자연계 통합교과형 논술 실전 문제와 풀이 과정을 격주로 소개한다.》

주요 대학 논술 예시문항 유형에 맞춘 실전문제 및 풀이

[제시문 1]

변위의 크기에 비례하고 방향은 변위와 반대인 힘은 형태로 주어지며 이러한 힘은 복원력이라고 한다. 이때, 변위이고,k는 비례상수이다.

용수철 등과 같은 탄성체,단진자,등속 원운동하는 물체에 대한 정사영 등은 복원력이 결부되는 대표적인 물리 현상이다.

[제시문 2]

건강한 사람의 혈당량은 0.1% 정도(혈액mL 중에 100㎎의 포도당이 함유)로 유지된다. 조직세포의 호흡에 필요한 포도당을 적절한 수준으로 공급하고 혈액의 점성을 일정하게 유지하게 위해서는 혈당량을 일정하게 유지해야 하므로,인체내에서는 혈당량 조절을 위한 항상성 유지 과정이 일어난다. 혈당량 조절 중추는 간뇌의 시상하부이며,자율신경과 호르몬의 상호 작용을 통해 혈당량이 조절된다.

혈당량 조절에 개입하는 대표적 호르몬은 인슐린과 글루카곤으로 이 두 호르몬에 의한 혈당량 조절 메커니즘은 각각 다음과 같다.

1. 고혈당일 때:간뇌의 당 중추 자극→부교감 신경 자극→이자의 랑게르한스섬의 β세포 자극→인슐린 분비→간에서 포도당을 글리코겐으로 저장,근육에서 포도당의 분해 촉진→혈당 낮아짐.

2. 저혈당일 때:간뇌의 당 중추 자극→교감 신경→이자의 랑게르한스섬의 α세포 자극→글루카곤의 분비→간에서 글리코겐을 포도당으로 분해→혈당 높아짐.

인슐린이 단독으로 작용할 때에 비해 인슐린과 글루카곤이 동시에 작용할 때 혈당량의 변화폭은 작아지며 이 경우 혈당량 변화곡선은 다음과 같이 나타난다.

[제시문 3]

과거와는 달리,산업혁명 이후에는 주기적인 경기변동이 나타났다. 즉 경기가 불황,회복,호황,후퇴라는 네 단계를 거치면서 순환하였다.

이러한 경기 순환은 주기가 약 50년인 것(콘드라티에프)과 주기가 10년 내외인 것(쥐글라르)이 있다. 짧게는 주기가 약 40개월인 것(키친)도 있다. 이외에 건축과 관련된 쿠즈네츠 순환(Kuznets cycle)도 있다. 경기변동의 원인은 여러 가지이나 많은 경우 아래처럼 설명한다.

경기가 좋아지면 가계는 소득이 늘어 소비를 늘린다. 이러면 기업은 상품이 잘 팔리기에 생산과 투자를 늘린다. 일자리가 늘어나고 심지어 일손이 부족해지는 경우도 생긴다. 대부분의 경제 주체는 주머니 사정이 좋아진다. 그러나 생산이 너무 늘어나면,공장에 재고가 쌓인다. 팔리지 않는 상품이 쌓이면 경기는 나빠진다. 기업은 새로운 투자를 꺼리고 임금이나 각종 경비를 줄인다. 일자리도 줄어든다. 이러면 물가나 금리가 내려간다. 이러면 다시 소비가 늘고 저축이 줄어 경기는 회복된다.

[제시문 4]

평균은 사회현상 또는 과학적 사실에서 얻어지는 데이터를 이용하여 그 현상 또는 사실의 대표적인 성향을 나타낼 때 자주 사용되는 개념이다.

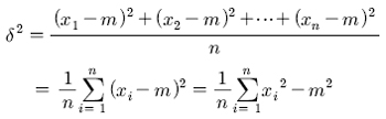
하지만 사회현상이나 자연현상을 평균만을 사용하여 볼 수 없는 경우가 상당히 많다. 예를 들어 평균깊이만 믿고 강을 건너는 것을 얼마나 어리석은 일인가? 평균 깊이와 더불어 깊이가 평균을 중심으로 얼마나 변하고 있는가를 알아야 할 것이다. 이와 마찬가지로 통계적 분석에도 자료가 평균과 같은 중심위치에서 얼마만큼 떨어져 있는가를 측정하는 측도가 필요하며 이 측도를 산포도라고 하는데 산포도로서 널리 쓰이는 것이 분산과 표준편차이다.

평균,분산,표준편차의 정의를 구체적으로 살펴보면 다음과 같다.

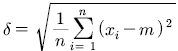
자료값들을 x₁,x₂,x₃…,xn라 두었을 때,평균 m은 이며,분산 δ²은 이고,표준편차 δ는 라 정의한다.

[논제 1]

제시문 1에 제시된 복원력의 개념을 이용하며 제시문 2에 제시된 혈당량 변화곡선과 제시문 3의 경기변동곡선을 분석하시오.

[논제 2]

제시문 2에 인슐린만 작용한 경우와 인슐린과 글루카곤이 함께 작용한 경우 혈당량 변화와 폭이 다르다. 이 두 경우에 대해 혈당량 변화가 얼마나 큰 것인지를 정량화하려고 한다. 제시문 4의 원리에 입각해서 정량화 방법을 논술하시오.

[논제 3]

자연계처럼 사회에서도 어떤 법칙이 존재하는가? 아니면 개인의 자유의지 때문에 인간사회에서는 법칙이 불가능한가? 사회법칙의 존재 유무(有無)를 자연계와 비교하여 500자 내외로 논술하시오(제3의 입장도 가능).

출제 의도 및 예시답안

[논제 1]

혈당량의 변화곡선과 경기변동곡선에 내재된 수학적 특징을 이해하고 이것이 복원력의 정의와 어떤 관계가 있는지 파악하는 능력을 평가하고자 출제되었다.

혈당량의 변화곡선과 경기변동곡선은 그 형태가 삼각함수인 사인함수형태이다. 가로축을 시간 t라 보고 세로축을 변위 x로 파악하며 두 경우 모두 x=Asin(wt)의 형태로 나타낼 수 있다.

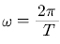
이때 A는 진폭이며 가 된다.(T는 주기이다)

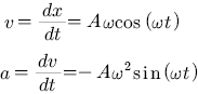
변위의 정의로부터 각각 속도와 가속도에 해당하는 값을 구해 보면 이다.

질량이 m일 때,힘 F는 F=ma=-Aw²sin(wt)=-kAsin(wt)=-kx로 나타난다. 단,k=w²m이다.

따라서 사인함수 형태로 나타나는 혈당량의 변화와 경기변동은 모두 복원력에 해당하는 힘이 작용하는 경우로 파악할 수 있다. 혈당량 변화의 경우 혈당량을 일정하게 유지시키기 위해 작용하는 자율신경이나 호르몬 등이 복원력으로 작용하여 기준치로부터 혈당량이 이탈하게 될수록 기준치로 돌아가게 하는 작용이 커지며 이에 따라 일정한 혈당량을 유지할 수 있게 된다. 경기변동의 경우도 가계의 소득과 소비,기업의 투자와 생산량 등이 복원력으로 작용하여 경기가 지나치게 침체되거나 과열되었을 때 일정 수준으로 되돌아가게 한다.

이러한 복원력이 작용하는 경우는 음성피드백이 걸린 것과 같은 효과가 나타나 어떤 계가 안정상태를 유지하는 원동력이 된다.

[논제 2]

제시문 4에서 주어진 표준편차의 정의를 연속함수에 대해서도 개념을 확장시켜 적용할 수 있는지 파악하고자 출제하였다. 기준치로부터 혈당량 변화가 얼마나 큰지를 파악하는 데 적합한 개념은 평균에서 데이터가 얼마나 떨어져 분포하는지를 나타내는 표준편차이다.

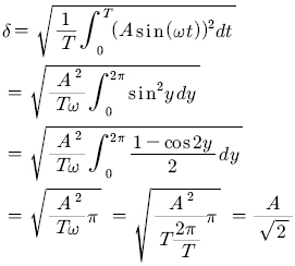
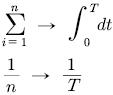
표준편차 δ는 로 정의되므로 사인함수와 같은 연속함수에 대해서는 한 주기 동안의 변화에 대해 로 변환이 가능하다.

따라서 혈당량 변화가 x=Asin(wt)의 형태로 나타날 경우 평균은 이므로,표준편차는 이 된다. 따라서 주기에 상관없이 혈당량의 최대량(진폭A)이 결정되면 한 주기에 걸친 평균적인 혈당량 변화의 크기를 로 정량화하여 구할 수 있다.

[논제 3]

논제 3에 대해서는 학자와 학설에 따라서 견해가 상이하다. 정해진 답은 없다. (쉽게 생각할 수도 있지만 복잡하고 어려운 문제이다) 그럼에도 주장의 방향과는 관계없이 답안에 논리성,일관성,정합성과 설득력이 있으면 우수하다고 평가할 수 있다. 답안에서 학생은 가부(可否)로 주장할 수 있다. 그러나 다른 입장도 무방하다. 예컨대,엄밀한 법칙은 존재하기 힘들지만 어떤 경향성은 존재한다고 주장해도 된다.

어떤 대상을 파악할 때 그 자체로서는 불명확하지만 다른 대상과 비교하면 더 잘 이해되는 경우가 있다. 둘때 문제에서 학생은 과학시간에 배운 여러 법칙을 스스로 확인해야 한다. 일부는 이를 일반적 특징으로 귀납하여 정리하기도 할 것이다. 이러한 과정에서 학생은 개개의 법칙을 나무라는 관점에서뿐만 아니라 산이라는 관점에서 종합하게 된다. 이러면 학교에서 배운 자연법칙들에 대한 이해가 깊어진다. 또 답안을 작성하기 위해서는 사회현상과 자연현상을 대비하여 파악해야 하는데 이런 과정을 통해서도 학생은 과학의 특징을 체계적으로 정리하고,세계(자연+개인+사회)에 관한 이해를 심화시킬 수 있다. 이런 훈련은 과학철학,과학사회학 논제에 대해서오 적지 않은 도움이 된다.

조 현 최강통론 통합과학논술 대표강사

김영규 최강통론 통합철학논술 대표강사

서 원 최강통론 통합수학논술 대표강사

트렌드뉴스

트렌드뉴스

  • 좋아요
    0
  • 슬퍼요
    0
  • 화나요
    0

댓글 0

지금 뜨는 뉴스