[교육]서울대 논술고사 예상답안 (자연계)

  • 입력 2006년 6월 20일 03시 01분


■ 문항1

논제 1. 포물선과 쌍곡선은 모양이 비슷하지만 서로 다른 성질을 갖는 곡선이다. 그 유사점과 차이점에 대하여 설명하시오.

먼저 포물선과 쌍곡선의 유사점은 첫째, 같은 원뿔을 이용하여 자른 단면에 의하여 파생한 곡선이라는 점, 둘째 식으로 표현할 때 이차방정식 으로 표현할 수 있다는 점이다. 이에 반하여 차이점은 첫째, 원뿔의 밑면과 모선이 이루는 각을 , 원뿔의 밑면과 원뿔을 자르는 평면이 이루는 각을 라 하면 포물선은 일 때 평면이 아래, 위의 두 원뿔 중 어느 하나와 만나게 되므로 포물선은 1개의 곡선이고 초점(포물선의 정의상의 정점)이 1개인 데 반하여, 쌍곡선은 일 때는 평면이 두 원뿔과 만나게 되므로 쌍곡선은 2개의 곡선으로 되어 있고 초점이 2개라는 점이다. 둘째, 이차방정식 에서 포물선은 또는 일 때 포물선의 식이 되고 AB〈0 일 때 쌍곡선의 식이 된다. 셋째, 기하학적으로 쌍곡선에는 점근선이 존재하지만 포물선에는 점근선이 없다.

▶2008 서울대 논술고사 자연계열 예시답안

논제 2. 천문 관측용 반사망원경 중 하나인 카세그레인식 망원경(Cassegrain's Telescope)은 포물선과 쌍곡선의 반사성질을 이용하여 아래의 그림과 같은 구조로 만들어졌다. 이처럼 포물선과 쌍곡선에서 반사성질이 성립하는 이유를 설명하시오.

카세그레인식 망원경의 구조는 포물선면 반사경은 주거울로, 쌍곡선면 반사경은 부거울로 구성되어 있다. 이 망원경은 빛을 모으는 포물선면 반사경의 중앙에 작은 구멍을 뚫어 포물선면 반사경으로 모은 빛을 초점의 조금 앞쪽에서 부거울로 포물선면 반사경 방향으로 반사시켜 중앙 구멍에서 밖으로 나간 것을 접안경으로 들여다보는 방식을 가지고 있다. 다음 내용은 주거울의 포물선면 반사경에서와 부거울의 쌍곡선면 반사경에서 빛이 반사되는 원리이다.

<1> 주거울의 포물선면 반사경에서 빛의 반사

아래 그림(가), (나)는 무한히 먼 광원으로부터 x축에 나란하게 들어온 광선이 포물선면 반사경의 초점 F에 모이는 이유를 설명하고 있는 그림이다.

그림(가)의 사각형 ABCF는 평행사변형이고 BC의 길이와 CF의 길이가 같으므로 대각선 AC는 각 BCF를 이등분한다. 따라서 선분 BC를 x축에 평행하게 연장하였을 때 점 C에서의 법선(점선으로 표시)과 이루는 각(β)은 선분 CF와 법선이 이루는 각과 같다.

그러므로 그림 (나)와 같이 x축에 나란하게 입사된 모든 빛은 포물선의 반사경에서 반사하면 반사의 법칙(입사각=반사각)에 의해 초점 F에 모여들게 된다.

빛은 역방향으로도 동일한 경로를 가지므로, 포물선면 반사경으로 만들어진 자동차 전조등에서 나온 광선도 퍼지지 않고 포물선 축에 나란하게 진행하게 된다.

<2> 부거울의 쌍곡선면 반사경에서 빛의 반사

그림 (다)는 무한히 먼 광원으로부터 초점 F를 향해 들어온 광선이 쌍곡선면 반사경에서 반사하여 초점 F에 모이는 이유를 설명하고 있는 그림이다.

그림(다)에서 쌍곡선 위의 임의의 한 점에서 그은 접선 T의 접점을 두 초점 F, F'와 연결한 선 Q, R이 이루는 각은 접선 T에 의해 이등분된다.

따라서 접선 T에 수직하게 세운 법선 N과 선 R, Q가 각각 이루는 각 (b)는 같으므로 무한히 먼 광원으로부터 초점 F를 향해 입사하는 모든 빛은 쌍곡선면의 반사면에서 반사의 법칙(입사각=반사각)에 의해 반대편 초점 F'로 모여들게 된다.

■ 문항3

논제 1. 만약 밝기가 일정한 별들이 우주 공간에 균일하게 분포하고 있다면, N(〈m)이 어떻게 주어지는가를 생각해 보고, 이를 바탕으로 위의 그림에서 관측된 결과에 대해 설명하시오.

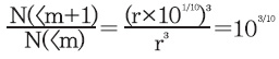
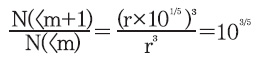
별의 밝기는 한 등급이 커질 때 배 어두워지고, 거리의 제곱에 반비례하므로 별까지의 거리가 배 멀어지면 실시등급이 한 등급 커지게 된다. 만약, 별들이 우주에 균일하게 분포되어 있다는 가정하에서, m등급보다 밝은 별의 총수 N(〈m)이 반지름 r인 공간 내에 존재한다면, m+1등급보다 밝은 별의 총 수 N(〈m+1)는 반지름이 인 공간 내에 존재하게 된다. 밀도가 같으면 밝은 별들의 개수의 비는 두 별이 차지하는 공간의 부피비가 되므로 이다.

즉, 별의 밀도와 밝기가 균일하다고 가정하면 실시 등급 m+1보다 밝은 별의 수가 m등급보다 밝은 별의 수의 배가 된다. 위 식의 양변에 로그를 취하면, 이 된다.

즉, 가로축을 실시 등급, 세로축을 logN(〈m)으로 놓으면, 가로축이 1등급 증가할 때마다 세로축은 3/5씩 증가하므로 그래프는 직선의 형태가 나타나야 한다. 그런데, 실제 관측 자료에서 직선의 형태가 나타나지 않고 그래프의 기울기가 감소하는 경향을 보여주고 있는데 이것은 등급이 클수록 즉, 거리가 멀수록 계산에 의해 예측된 값보다 별이 어둡게 관측된다는 것을 의미하고 있다. 등급이 커질수록 그래프의 기울기가 좀 더 감소하고 있는 데, 이것은 거리가 먼 천체일수록 거리가 가까운 천체보다 좀 더 많이 어두워지는 것으로 해석된다.

이것은 우주의 팽창으로 인하여 먼 은하에서 오는 빛이 적색 편이 때문에 희미해지기 때문에 나타나는 현상으로 보여진다. 그리고 거리가 먼 천체일수록 좀 더 많이 어두워지는 것으로 나타나는 것은, 먼 은하일수록 후퇴 속도가 커 적색 편이가 크게 나타나므로 별빛이 약해지는 현상이 더 커지기 때문에 나타나는 현상이다. 위의 관측 결과는 별의 밝기가 일정하고, 별의 분포가 일정하다는 가정하에서 우주가 팽창하고 있고, 먼 은하일수록 좀 더 빠른 속도로 후퇴하고 있다는 것을 보여주고 있다.

논제 2. 만약 사람의 눈이 지금보다 밝기에 민감하여 1등급과 6등급 별의 밝기의 차이가 100배가 아닌 10배였다면, (나)의 관측 결과는 어떻게 달라졌을지 논술하시오.

사람의 눈이 좀 더 민감하여 5등급 차이일 때 밝기의 차이가 10배라면 한 등급이 커질 때 별의 밝기는 배 어두워질 것이다. 이때 별의 밝기는 거리의 제곱에 반비례하므로 별까지의 거리가 배 멀어지면 실시등급이 한 등급 커지게 될 것이다. 위 문제와 동일한 가정하에서, m등급보다 밝은 별의 총수 N(〈m)이 반지름이 r인 공간 내에 존재한다면, m+1등급보다 밝은 별의 총 수 N(〈m+1)는 반지름이 인 공간 내에 존재하게 된다. 밝은 별들의 개수의 비는 두 별이 차지하는 공간의 부피비가 되므로

이다. 즉, 별의 밀도와 밝기가 균일하다고 가정하면 실시 등급 m+1보다 밝은 별의 수가 m등급보다 밝은 별의 수의 배가 된다. 위에 주어진 대로 양변에 대수를 취하면, 이 되어, 그래프의 기울기가 관측된 자료의 절반이 될 것이다.

■ 문항5

논제 1. 포유류 중 인간의 가청 주파수는 약 20Hz부터 20,000Hz라고 한다. 그런데 코끼리는 인간보다 더 낮은 주파수의 소리를 들을 수 있고, 쥐는 인간보다 더 높은 주파수의 소리를 들을 수 있다고 알려져 있다. 포유류의 귀의 구조가 서로 비슷하고 단지 크기만 다르다고 가정했을 때, 코끼리가 인간보다 낮은 주파수의 소리를, 쥐는 인간보다 높은 주파수의 소리를 들을 수 있는 이유를 설명하시오.

소리를 인지하는 데 귀의 크기는 크게 중요한 요인이 아니다. 코끼리의 귀가 큰 이유는 실질적으로 더 큰 목적이 체온 조절에 있기 때문이다. 물론 귀가 크면 소리를 효과적으로 모으는 데 역할을 하는 부분이 있긴 하지만 이는 소리의 세기와 관계있는 부분이며, 동물들마다 가청 주파수 영역대가 엄청난 차이를 보이는 것은 귀의 크기와 관계성을 찾기 어렵다.

동물마다 다른 영역대의 주파수를 감지할 수 있는 이유를 크게 두 가지의 가능성으로 얘기해 보고자 한다. 첫째는 고막의 특수성을 생각해 볼 수 있다. 소리가 들리는 과정은 음파의 정도에 따라 고막의 진동으로 시작된다. 이 고막의 진동이 청소골로 전해져 난원창을 때리면 달팽이관의 림프에 파동이 유발되어 기저막을 움직이게 되고, 기저막의 진동이 유모세포의 털을 자극하게 되면 털이 구부러지면서 세포에 수용기 전위를 유발하게 되는 것이 대뇌에서 소리를 인식하게 되는 원인이라고 할 수 있다. 즉 고막의 진동이라는 시작이 없으면 소리를 듣는 것은 불가능하다. 그렇기 때문에 코끼리와 같은 동물의 고막은 낮은 주파수에도 진동을 유발할 수 있는 고막 구조를 가지고 있지 않은가 하는 짐작이 가능하다. 하지만 이것만으로는 높은 주파수의 소리를 못 들을 만한 특별한 이유를 제시하는 것은 어렵다.

따라서 결정적인 원인으로 예상되는 두 번째 이유는 동물의 종류에 따라 소리의 주파수(높낮이)에 반응하는 유모세포의 종류와 다양성이다. 사람의 달팽이관 내부의 구조를 보면 고음에 반응하는 유모세포가 있는 위치와 저음에 반응하는 유모세포의 위치가 확연히 구별된다. 주파수의 차이는 기저막의 진동을 다르게 유발시키게 되는데 이때 기저막의 진동 정도에 따라 자극받는 유모세포가 달라지기 때문에 소리의 높낮이 여부를 인지할 수 있는 것이다. 즉 코끼리는 사람에 비해 낮은 주파수(진동)에도 반응하는 유모세포가 발달되어 있고 쥐는 높은 주파수(진동)에 반응하는 유모세포가 훨씬 다양하게 발달되어 있기 때문에 각각 다른 주파수 영역대의 소리를 듣는 것이 가능하다는 것을 짐작할 수 있다.

논제 2. 서양음악 7음 음계를 피아노로 연주해 보면 중간 도(C) 음과 한 옥타브 위의 도 음은 많이 떨어져 있지만 우리의 귀에 비슷하게 들리고(옥타브 동치성), 도 음과 바로 옆의 레(D) 음은 가까이 있음에도 불구하고 전혀 다르게 느껴지는데 그 이유를 설명하시오.

옥타브 동치성 문제를 두 가지 가능성으로 접근해 볼 필요가 있다. 첫째는 소리의 파형 관점에서의 접근이다. 소리를 구별하는 물리량에는 주파수와 세기 외에 파형도 있다. 똑같은 도 음이라도 피아노 소리인지 바이올린 소리인지 구별할 수 있는 이유가 피아노 소리와 바이올린 소리의 파형이 다르기 때문이다. 사람의 뇌는 여러 가지 파형을 기억하고 있다가 뇌에 저장된 파형과 일치하는 파형이 입력되면 발성체가 무엇인지 또는 누구인지 알게 된다. 그래서 뇌에 저장된 파형과 아주 비슷한 파형이 입력되면 간혹 착각하는 경우도 있는 것이다.

모든 도 음은 비슷하게 들리지만 도 음과 레 음이 다르게 들리는 이유도 모든 도 음은 파형이 서로 비슷하지만 도 음과 레 음은 파형이 다르기 때문이라고 볼 수 있다. 어떤 사람이 여러 옥타브를 넘나들며 노래를 불러도 실제로 들을 때는 같이 사람이라는 걸 알 수 있다. 마찬가지로 중간 도 음과 한 옥타브 위의 도 음은 진동수는 다르지만 파형은 비슷해서 우리 귀에 비슷하게 들리는 것이다.

둘째는 유모 세포와 관련된 접근이다. 하나의 유모 세포를 현악기의 현처럼 생각하면 유모 세포는 정상파를 만든다고 볼 수 있다. 유모 세포는 자신의 고유 진동수와 비슷한 진동수를 갖는 소리를 감지한다고 보면, 하나의 유모 세포는 자신의 기본 진동수의 자연수배(1, 2, 3, 4, …배)의 소리를 모두 감지할 것이다. 중간 도 음과 한 옥타브 높은 도 음이 어떤 진동수의 자연수 배일 것이므로, 중간 도 음과 한 옥타브 높은 도 음을 같은 유모 세포가 감지할 것이다. 중간 도 음과 한 옥타브 높은 도 음을 같은 유모 세포가 감지하므로 사람은 비슷한 소리로 인식한다.

<청솔학원 참여강사: 송문섭(수리논술), 김성훈(수리논술), 유병석 (지구과학), 주성문(물리), 윤정식(물리), 허경태(물리), 장성호(생물), 박상현(생물)>

▶2008 서울대 논술고사 자연계열 예시답안

트렌드뉴스

트렌드뉴스

  • 좋아요
    0
  • 슬퍼요
    0
  • 화나요
    0

댓글 0

지금 뜨는 뉴스